O Javascript possui um conjunto bastante vasto de funções com aplicação específica.
As funções são muito vantajosas para o usuário, pois permitem diminuir o tempo gasto na elaboração de formulários, assim como eventuais erros na sua concepção.
As funções do Javascript agrupam-se em:
As funções do Javascript tem a seguinte sintaxe:
| = nomedafunção(argumentos) |
Os tipos de argumentos variam de função para função e em relação às necessidades de cálculo do usuário.
Os tipos de argumentos mais utilizados são: variáveis numéricas, variáveis strings, variáveis booleanas, arrays e propriedades.
Exemplos (teóricos) de funções:
Inicio
escreva( Potencia(2, 6) )
escreva( Soma(12, 36) )
escreva( Media(8, 3) )
Fim
Para auxiliar os cálculos matemáticos, além dos Operaçãores matemáticos de adição, subtração, multiplicação e divisão existem outras funções matemáticas.
Algumas funções são comuns, tais como: raiz quadrada, potenciação, módulo, etc. Outras exigem conhecimento a nível de 2º grau tais como: trigonometria e Logaritmos.
Vejamos
Convertendo string para numérica
public class ExemploJava { |
|
Atenção: |
|
| números Inteiros | |
| Byte.parseByte(string) | De -128 a +127 (8 bits). Exemplo: Resultado: 127 |
| Short.Paíseshort(string) | De -32.768 a +32.767 (16 bits) Transforma string em inteiro Exemplo: Resultado: -55 |
| Integer.parseInt(String) | De -2.147.483.648 a +2.147.483.647 (32 bits) Transforma string em inteiro Exemplo: Resultado: 79 |
| Long.parseLong(string) | De -9.223.372.036.854.775.808 a +9.223.372.036.854.775.807 (64 bits) Transforma string em inteiro Exemplo: Resultado: 79 |
| números Reais | |
| Float.parseFloat(String) | (32 bits) Exemplo: Resultado: 79.65732 |
| Double.parseDouble(string) | (64 bits) Exemplo: Resultado: 79.65732 |
| Booleanos | |
| Boolean.parseBoolean(string) | L�gico Transforma string em n�mero real Exemplo: |
Arredondando valores
funções matemáticas comuns
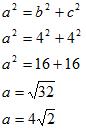
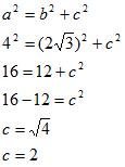
Trigonometria no triângulo retângulo
Considere um triângulo ABC, retângulo em  (Â=90º), onde á é a medida da hipotenusa, b e c são as medidas dos catetos e α, β são ângulos agudos.
Pelo teorema de Pitágoras, temos que "o quadrado da hipotenusa é igual a soma dos quadrados dos catetos", ou seja, pela figura, a2=b2+c2
Observamos ainda que os ângulos agudos do triângulo retângulo são complementares na figura α + β = 90º
Exercícios:
1) Usando o teorema de Pitágoras, calcule o valor de x:
a)![]() ![]() |
b)![]() ![]() |
c)![]() ![]() |
2) Determine o valor de α ou β nas figuras seguintes:
a)![]() ![]() |
b)![]() ![]() |
Razões trigonométricas

α = ângulo
a = Hipotenusa
b = Cateto oposto
c = Cateto adjacente


Observação:

Exercícios
1) Em cada caso, determinar o sen α, cos α e tg α:
a)![]() ![]() |
b)![]() ![]() |
c) |
d)![]() ![]() |
e)![]() ![]() |
Tabela dos ângulos mais usados do triângulo retângulo
| Grau | sen | cos | tg | em radianos |
| 30º | ||||
| 45º | 1 | |||
| 60º |
Exercícios:
1) Encontre x:
![]() ![]() |
2) Encontre y:
a)![]() ![]() |
b)![]() ![]() |
3) Encontre x e y:
a)![]() ![]() |
b)![]() ![]() |
c)![]() ![]() |
Unidades de medida
| ÂÔngulo | em |
em radianos |
| 360º | ||
| 180º | ||
![]() |
90º | |
![]() |
60º | |
![]() |
45º | |
![]() |
30º |
A unidade de medida usada pelos brasileiros é o grau, porém a unidade de medida usada pela maioria das linguagens de programação é o radiano, então acostume-se a transformar graus em radianos
funções trigonom�tricas
Calculando o seno, cosseno e tangente pelo computador
Se o argumento estiver em graus, multiplique-o por PI()/180 ou use a função radianos() para convert�-lo em radianos.
Exemplo:
| Arquivo ExemploJava.java |
public class ExemploJava { |
| Resultado: |
C:\ExemploJava>javac ExemploJava.java C:\ExemploJava>java ExemploJava 1.2246467991473532E-16 C:\ExemploJava> |
Calculando o arco seno, arco cosseno e arco tangente pelo computador
Retorna o arco seno ou o seno inverso de um n�mero. O arco seno � o �ngulo cujo seno � n�m. O �ngulo retornado � fornecido em radianos; o mesmo para arco cosseno e arco tangente.
Para expressar o arco seno em graus, multiplique o resultado por 180/PI( ) ou use a função graus().
| Arquivo ExemploJava.java |
public class ExemploJava { |
| Resultado: |
C:\ExemploJava>javac ExemploJava.java C:\ExemploJava>java ExemploJava 30 C:\ExemploJava> |
| Math.PI |
| public class ExemploPi { public static void main(String[] args) { // Acesso à constante Math.PI double pi = Math.PI; // Exibindo o valor de pi System.out.println("O valor de pi é: " + pi); // Exemplo de cálculo usando pi double raio = 5.0; double area = pi * raio * raio; System.out.println("A área de um círculo com raio " + raio + " é: " + area); } } |
| function radianos(){ return Math.PI/180 } |
| public class ConversorGrausRadianos { public static void main(String[] args) { double graus = 45.0; double radianos = converterParaRadianos(graus); System.out.println(graus + " graus é equivalente a " + radianos + " radianos."); } // função para converter graus para radianos public static double converterParaRadianos(double graus) { return graus * (Math.PI / 180.0); } } |
| Math.sin |
| public class ExemploSeno { public static void main(String[] args) { // Ângulo em radianos double anguloEmRadianos = Math.PI / 4.0; // Calculando o seno do ângulo double senoDoAngulo = Math.sin(anguloEmRadianos); // Exibindo o resultado System.out.println("O seno de " + anguloEmRadianos + " radianos é: " + senoDoAngulo); } } |
| Math.cos |
| public class ExemploCosseno { public static void main(String[] args) { // Ângulo em radianos double anguloEmRadianos = Math.PI / 3.0; // Calculando o cosseno do ângulo double cossenoDoAngulo = Math.cos(anguloEmRadianos); // Exibindo o resultado System.out.println("O cosseno de " + anguloEmRadianos + " radianos é: " + cossenoDoAngulo); } } |
| Math.tan |
| public class ExemploTangente { public static void main(String[] args) { // Ângulo em radianos double anguloEmRadianos = Math.PI / 6.0; // Calculando a tangente do ângulo double tangenteDoAngulo = Math.tan(anguloEmRadianos); // Exibindo o resultado System.out.println("A tangente de " + anguloEmRadianos + " radianos é: " + tangenteDoAngulo); } } |
| Math.asin |
| public class ExemploArcoSeno { public static void main(String[] args) { // Valor para o qual queremos calcular o arco seno double valor = 0.5; // Calculando o arco seno do valor double arcoSeno = Math.asin(valor); // Exibindo o resultado em radianos System.out.println("O arco seno de " + valor + " é: " + arcoSeno + " radianos."); } } |
| Math.acos |
| public class ExemploArcoCosseno { public static void main(String[] args) { // Valor para o qual queremos calcular o arco cosseno double valor = 0.5; // Calculando o arco cosseno do valor double arcoCosseno = Math.acos(valor); // Exibindo o resultado em radianos System.out.println("O arco cosseno de " + valor + " é: " + arcoCosseno + " radianos."); } } |
| Math.atan |
| public class ExemploArcoTangente { public static void main(String[] args) { // Valor para o qual queremos calcular o arco tangente double valor = 0.5; // Calculando o arco tangente do valor double arcoTangente = Math.atan(valor); // Exibindo o resultado em radianos System.out.println("O arco tangente de " + valor + " é: " + arcoTangente + " radianos."); } } |
| Math.sinh |
| public class ExemploSenoHiperbolico { public static void main(String[] args) { // Valor para o qual queremos calcular o seno hiperbólico double valor = 2.0; // Calculando o seno hiperbólico do valor double senoHiperbolico = Math.sinh(valor); // Exibindo o resultado System.out.println("O seno hiperbólico de " + valor + " é: " + senoHiperbolico); } } |
| Math.cosh |
| public class ExemploCossenoHiperbolico { public static void main(String[] args) { // Valor para o qual queremos calcular o cosseno hiperbólico double valor = 2.0; // Calculando o cosseno hiperbólico do valor double cossenoHiperbolico = Math.cosh(valor); // Exibindo o resultado System.out.println("O cosseno hiperbólico de " + valor + " é: " + cossenoHiperbolico); } } |
| Math.tanh |
| public class ExemploTangenteHiperbolica { public static void main(String[] args) { // Valor para o qual queremos calcular a tangente hiperbólica double valor = 2.0; // Calculando a tangente hiperbólica do valor double tangenteHiperbolica = Math.tanh(valor); // Exibindo o resultado System.out.println("A tangente hiperbólica de " + valor + " é: " + tangenteHiperbolica); } } |
| Math.asinh |
| public class ExemploArcoSenoHiperbolico { public static void main(String[] args) { // Valor para o qual queremos calcular o arco seno hiperbólico double valor = 2.0; // Calculando o arco seno hiperbólico do valor double arcoSenoHiperbolico = asinh(valor); // Exibindo o resultado System.out.println("O arco seno hiperbólico de " + valor + " é: " + arcoSenoHiperbolico); } // função para calcular o arco seno hiperbólico public static double asinh(double x) { return Math.log(x + Math.sqrt(x*x + 1)); } } |
| asinh(x) = ln(x + sqrt(x^2 + 1)) |
| Math.acosh |
| public class ExemploArcoCossenoHiperbolico { public static void main(String[] args) { // Valor para o qual queremos calcular o arco cosseno hiperbólico double valor = 2.0; // Calculando o arco cosseno hiperbólico do valor double arcoCossenoHiperbolico = acosh(valor); // Exibindo o resultado System.out.println("O arco cosseno hiperbólico de " + valor + " é: " + arcoCossenoHiperbolico); } // função para calcular o arco cosseno hiperbólico public static double acosh(double x) { return Math.log(x + Math.sqrt(x*x - 1)); } } |
| acosh(x) = ln(x + sqrt(x^2 - 1)) |
| Math.atanh |
| public class ExemploArcoTangenteHiperbolico { public static void main(String[] args) { // Valor para o qual queremos calcular o arco tangente hiperbólico double valor = 0.5; // Calculando o arco tangente hiperbólico do valor double arcoTangenteHiperbolico = atanh(valor); // Exibindo o resultado System.out.println("O arco tangente hiperbólico de " + valor + " é: " + arcoTangenteHiperbolico); } // função para calcular o arco tangente hiperbólico public static double atanh(double x) { return 0.5 * Math.log((1 + x) / (1 - x)); } } |
| atanh(x) = 0.5 * ln((1 + x) / (1 - x)) |
Logaritmos
Definição |
Sendo a e b números reais e positivos com a≠1, chama-se logaritmo de b na base a o expoente x ao qual se deve elevar a base a de modo que a potência ax seja igual a b.
logab=x <=> ax=b
Na expressão logab=x, temos:
Vejamos alguns exemplos de Logaritmos:
log24=2, pois 22=4
log381=4, pois 34=81
log77=1, pois 71=7
log51=0, pois 50=1
| Logaritmo decimal |
No âmbito do Ensino Médio, usa-se bastante a base 10, uma vez que neste ambiente a base decimal recebe as preferências para o trabalho com o nosso sistema de numeração, mas devemos observar que em contextos mais avançados, a base decimal tem pouca utilidade. Quando escrevermos Log a partir daqui neste trabalho, entEndereços o Logaritmo na base decimal e escrevemos:
y = Log(x) |
para entender que y é o Logaritmo de x na base 10 e nesta base 10, temos algumas características interessantes com os Logaritmos das potências de 10
A partir da propriedade
Log 10n=n |
temos que o Logaritmo de 10n na base 10 é o expoente n, o que nos faz pensar que para todo x real positivo vale a relação:
Log(10x) = x |
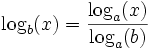
| Mudança
de base
|
Apesar de existirem
identidades muito úteis, a mais importante para o uso na calculadora é
a que permite encontrar Logaritmos com bases que não as que foram
programadas na calculadora (normalmente loge e log10).
Para encontrar um logaritmo com uma base b usando qualquer
outra base a:

Prova
da fórmula de mudança de base
|
|
|
por definição
|
|
aplica-se
|
|
simplifica-se o
lado esquerdo da igualdade
|
|
divide-se por logk(b)
|
| cálculos
mais fáceis
|
Logaritmos trocam números por
expoentes. Mantendo-se a mesma base, é possível tornar algumas poucas
operações mais fáceis:
Operação
com números
|
Operação
com expoentes
|
Identidade
logarítmica
|
|
|
|
|
|
|
|
|
|
|
|
|
Demonstração da identidade log(a)
+ log(b) = log(ab)
Por definição, se: log(a) = x então a = 10x. Logo,
considerando-se b = 10y,
tem-se:
![]()
Observa-se em ambos os lados da expressão acima que x + y = x + y, o que comprova a identidade.
Manipulando Strings
O Javascript � bastante poderoso no manuseio de Strings, fornecendo ao programador uma total flexibilidade em seu manuseio.
Abaixo apresentamos os Métodos dispon�veis para manuseio de strings.
public class ExemploJava { |
|
| length() | Retorna o comprimento de uma String. Exemplo: Resultado: |
| substring(indiceInicial, indiceFinal) | O Método substring (subcadeia) retorna a cadeia que se estende do indice Inicial at� o caractere logo antes de indice final. Se indice Inicial for maior que indice final, o Método funciona como se ambos estivessem com as posi��es trocadas. Se os dois �ndices forem iguais, retorna uma cadeia vasia. Exemplo: Resultado: |
| charAt(posi��o) | funciona da mesma forma que o substring, s� que, retorna o caractere simples em uma posi��o espec�fica na String. Exemplo: Resultado: "e" |
| indexOf(caractere, [inicIndex]) | O Método indexOf faz a busca no objeto string pela primeira ocorr�ncia do caractere e retorna o �ndice correspondente. o argumento inicIndex � opcional e indica a partir de onde inicia a busca. Podemos localizar os valores dos �ndices para todos os caracteres do mesmo tipo iniciando ap�s o �ndice anterior. Exemplo: Resultado:" 2 3 10" |
| lastIndexOf(caractere, [inicIndex]) | O Método lasIndexOf � id�ntico ao Método index of exceto que faz a busca do caractere na cadeia do fim para o come�o iniciando em inicIndex. Veja o exemplo anterior |
| replace(palavra, substituto) | O Método replace voc� insere uma palavra ou uma letra em que voc� deseja substituir por outra. Exemplo: Resultado: |
| toLowerCase() | O Método toLowerCase (para min�sculo) retorna a cadeia coMétodos os caracteres alterados para min�sculo. Exemplo: Resultado: |
| toUpperCase() | O Método toUpperCase (para mai�sculo) retorna a cadeia coMétodos os caracteres alterados para mai�sculo. Exemplo: Resultado: |
"Hello".charAt(4) => o
"Hello".concat(" ", "world") => Hello world
"Hello".startsWith("H") => true
"Hello".endsWith("o") => true
"Hello".includes("x") => false
"Hello".indexOf("l") => 2
"Hello".lastIndexOf("l") => 3
"Hello".match(/[A-Z]/g) => ['H']
"Hello".padStart(6, "?") => ?Hello
"Hello".padEnd(6, "?") => Hello?
"Hello".repeat(3) => HelloHelloHello
"Hello".replace("llo", "y") => Hey
"Hello".search("e") => 1
"Hello".slice(1, 3) => el
"Hello".split("") => ['H','e','l','l','o']
"Hello".substring(2, 4) => ll
"Hello".toLowerCase() => hello
"Hello".toUpperCase() => HELLO
" Hello ".trim() => Hello
" Hello ".trimStart() => "Hello "
" Hello ".trimEnd() => " Hello" |
| Arquivo: ExemploJava.java |
| import java.util.ArrayList; public class ExemploJava { public static ArrayList Texto; public static void main(String[] args) { Texto = new ArrayList(); Texto.add("Tiago"); Texto.add("Maria"); Texto.add("Pedro"); Texto.add("Carlos"); Texto.add("Fabio"); Texto.add("Ana"); Texto.add("Francisco"); Texto.add("Bianca"); String memo = ""; int total = Texto.size(); if (total > 1) { for (int x = 0; x < total - 1; x++) { for (int y = x + 1; y < total; y++) { if (Texto.get(x).toString().compareTo(Texto.get(y).toString()) > 0) { memo = Texto.get(x).toString(); Texto.set(x, Texto.get(y)); Texto.set(y, memo); } } } } for (int z = 0; z < total; z++) { System.out.println(Texto.get(z)); } } } |
| Resultado: |
C:\ExemploJava>javac ExemploJava.java C:\ExemploJava>java ExemploJava C:\ExemploJava> |
Existe apenas uma função para que se possa obter a data e a hora. � a função Calendar.getInstance(). Esta funço devolve data e hora no formanto: Dia da semana, Nome do m�s, Dia do m�s, Hora:Minuto:Segundo e Ano
Ex:
Fri May 24 16:58:02 1996
Para se obter os dados separadamente, existem os seguintes Métodos:
No exemplo 1 abaixo obteremos o dia da semana e as horas. Para tal, utilizaremos a Variável DataToda para armazenar data e hora.
| Arquivo ExemploJava.java |
/* b) Voc� n�o leu a documenta��o direito. getYear lhe volta o ano menos 1900, ou seja, para 2006 ele lhe retorna 2006 - 1900 = 106. getDay volta o dia da semana, sendo 0 = Domingo. E getMonth lhe retorna 0 para janeiro, 1 para fevereiro, e assim por diante. c) Quando a linguagem Java foi definida, s� existia o java.util.Date, e ela era bem boboca (o pr�prio James Gosling que a escreveu, e ele n�o quis p�r um monte de frescuras nela) import java.util.Calendar; |
| Resultado: |
C:\ExemploJava>javac ExemploJava.java C:\ExemploJava>java ExemploJava C:\ExemploJava> |
exemplo 4: alterando a data
Para criar uma Variável tipo Date com o conte�do informado pela aplica��o, existe o Método set. Os mas importantes s�o:
Voc� pode simplificar as datas veja:
Tanto pode usar esta forma quanto da outra.
| Arquivo ExemploJava.java |
/* b) Voc� n�o leu a documenta��o direito. getYear lhe volta o ano menos 1900, ou seja, para 2006 ele lhe retorna 2006 - 1900 = 106. getDay volta o dia da semana, sendo 0 = Domingo. E getMonth lhe retorna 0 para janeiro, 1 para fevereiro, e assim por diante. c) Quando a linguagem Java foi definida, s� existia o java.util.Date, e ela era bem boboca (o pr�prio James Gosling que a escreveu, e ele n�o quis p�r um monte de frescuras nela) import java.util.Calendar; |
| Resultado: |
C:\ExemploJava>javac ExemploJava.java C:\ExemploJava>java ExemploJava C:\ExemploJava> |
exmeplo 3: vendo as horas
| Arquivo ExemploJava.java |
import java.util.Calendar; |
| Resultado: |
C:\ExemploJava>javac ExemploJava.java C:\ExemploJava>java ExemploJava C:\ExemploJava> |
| Arquivo: ExemploJava.java |
import java.util.Calendar; |
| No Prompt |
C:\ExemploJava>javac ExemploJava.java C:\ExemploJava>java ExemploJava C:\ExemploJava> |
| add(Object o): adiciona à coleção o objeto passado como argumento. |
| size(): retorna o tamanho da coleção |
| get(int index): retorna um objeto dada uma posição. |
import java.util.ArrayList; public class JavaTeste { } |
Resultado: Banana |
| add(int index, Object element): adiciona um objeto dada uma posição. |
import java.util.ArrayList; public class JavaTeste { } |
Resultado: Banana |
| set(int index, Object element): edita um objeto dada uma posição. |
import java.util.ArrayList; public class JavaTeste { } |
Resultado: Banana |
| remove(int index): remove um objeto dada sua posição. |
import java.util.ArrayList; public class JavaTeste { } |
Resultado: Banana |
| clear(): apaga todo o conteúdo da coleção. |
import java.util.ArrayList; public class JavaTeste { } |
Resultado
|
| boolean contains(Object o): verifica se o objeto passado como argumento existe na coleção. |
| ArrayList lista = new ArrayList(); lista.add("Jose"); lista.add("Maria"); System.out.println(lista.contains("Jose")); // True |
| Object[ ] toArray(): converte os elementos da coleção em um array (rápidos acesso aos elementos). |
| ArrayList lista = new ArrayList(); lista.add("Jose"); lista.add("Maria"); lista.add("Joao"); Object[] elementos = lista.toArray(); for(int i=0; i<elementos.length;i++) { System.out.println(elementos[i]); } |
| int indexOf (Object o): retorna a posição de um objeto. |
| ArrayList lista = new ArrayList(); lista.add("Jose"); lista.add("Maria"); lista.add("João"); lista.indexOf("Maria"); //1 |
| int lastIndexOf (Object o): retorna o último índice de um objeto. |
| ArrayList lista = new ArrayList(); lista.add("Maria"); lista.add("Maria"); lista.lastIndexOf("Maria"); //1 |
Não utilize Matriz no ArraList, pode acontecer erros.
| Arquivo: JavaTeste.java |
import java.util.ArrayList; |
| Resultado: |
Linha 1 Coluna 1 |
| Criptografia | ||||||||||||||||||||||||||||||||
| Criptografar | ||||||||||||||||||||||||||||||||
| Descriptografar | ||||||||||||||||||||||||||||||||
| Criptografia de "Mão Única" | ||||||||||||||||||||||||||||||||
| Software que encripta o Código-fonte | ||||||||||||||||||||||||||||||||
| Criptografar "Arquivos e Pastas" | ||||||||||||||||||||||||||||||||
| funções | ||||||||||||||||||||||||||||||||
| Convertendo String para Num�rica | ||||||||||||||||||||||||||||||||
| Convertendo Num�rica para String | ||||||||||||||||||||||||||||||||
| funções Matemáticas (O Básico) | ||||||||||||||||||||||||||||||||
| funções Strings | ||||||||||||||||||||||||||||||||
| Manipulando Data e Hora | ||||||||||||||||||||||||||||||||
| Lista de Seleção => Idiomas | Países | Regiões | Fuso Horários | Mapas | ||||||||||||||||||||||||||||||||
| Array List | ||||||||||||||||||||||||||||||||
| função String | ||||||||||||||||||||||||||||||||
|
||||||||||||||||||||||||||||||||
| Outras funções Matemáticas | ||||||||||||||||||||||||||||||||
|
||||||||||||||||||||||||||||||||
| funções de Base | ||||||||||||||||||||||||||||||||
|
||||||||||||||||||||||||||||||||
| Dados do Usuário I (Servidor) | ||||||||||||||||||||||||||||||||
|
||||||||||||||||||||||||||||||||
| Dados do Usuário II (Servidor) | ||||||||||||||||||||||||||||||||
|
||||||||||||||||||||||||||||||||
| Url e Diretório | ||||||||||||||||||||||||||||||||
| Url 1 | ||||||||||||||||||||||||||||||||
|
||||||||||||||||||||||||||||||||
| Protocolos | ||||||||||||||||||||||||||||||||
| http:// | ||||||||||||||||||||||||||||||||
| ftp:// | ||||||||||||||||||||||||||||||||
| file:// | ||||||||||||||||||||||||||||||||
| Url 2 | ||||||||||||||||||||||||||||||||
| _top | ||||||||||||||||||||||||||||||||
| _blank | ||||||||||||||||||||||||||||||||
| Form | ||||||||||||||||||||||||||||||||
| Frameset | ||||||||||||||||||||||||||||||||
| iFrame | ||||||||||||||||||||||||||||||||
| Url 3 | ||||||||||||||||||||||||||||||||
| Enviando Variáveis através de um link | ||||||||||||||||||||||||||||||||
| Enviando Variáveis através de um campo de texto | ||||||||||||||||||||||||||||||||
| (Largura / Altura) de um Objeto (Imagem, flash, java, etc) | ||||||||||||||||||||||||||||||||
| (Tamanho em Bytes) de um Objeto (Imagem, flash, java, etc) | ||||||||||||||||||||||||||||||||
| Url Amigável | ||||||||||||||||||||||||||||||||
| Mini Url (Url Amig�vel) | ||||||||||||||||||||||||||||||||
| Subdomínio | ||||||||||||||||||||||||||||||||
| Coockies | ||||||||||||||||||||||||||||||||
| Redirecionamento | ||||||||||||||||||||||||||||||||
|
||||||||||||||||||||||||||||||||
|
||||||||||||||||||||||||||||||||
| Url Open Connection | ||||||||||||||||||||||||||||||||
| Url Checked Connection | ||||||||||||||||||||||||||||||||
| Url Checked Error | ||||||||||||||||||||||||||||||||
| Enviando E-Mail | ||||||||||||||||||||||||||||||||
| Caminho do Diretório | ||||||||||||||||||||||||||||||||
| Nome do Sistema Operaçãonal | ||||||||||||||||||||||||||||||||
| Diretório Atual => do Computador | ||||||||||||||||||||||||||||||||
| Url Atual => de uma página da Web | ||||||||||||||||||||||||||||||||
| Diretório Atual => de uma Classe Interna do Arquivo Compactado Jar do Java | ||||||||||||||||||||||||||||||||
| Applet's Java | ||||||||||||||||||||||||||||||||
| (Lagura / Altura) do Applet | ||||||||||||||||||||||||||||||||
| Parametros | ||||||||||||||||||||||||||||||||
| Url | ||||||||||||||||||||||||||||||||
| De Javascript para Java | ||||||||||||||||||||||||||||||||
| De Java para Javascript | ||||||||||||||||||||||||||||||||
| Flash | ||||||||||||||||||||||||||||||||
| (Lagura / Altura) do Flash | ||||||||||||||||||||||||||||||||
| Parametros | ||||||||||||||||||||||||||||||||
| Url | ||||||||||||||||||||||||||||||||
| De Javascript para Flash | ||||||||||||||||||||||||||||||||
| De Flash para Javascript | ||||||||||||||||||||||||||||||||
| Upload | ||||||||||||||||||||||||||||||||
Atenção
Na linguagem Java voc� deve prestar muita Atenção na hora de digitar seu Código fonte, pois, o Java � caso sensitivo, ou seja, ele diferencia letras mai�sculas de min�sculas. Por exemplo, as palavras história, história e história s�o palavras diferentes.
Por exemplo, veja este Código abaixo:
Texto="A raiz quadrada de 9 � 3";
app.mensagem(Texto);
As palavras Texto e app.mensagem est�o corretos, por�m, se voc� alterar o Código fonte com letras mai�sculas e min�sculas,causar� erros no Código fonte. Observe:
Texto="A raiz quadrada de 9 � 3";
App.Mensagem(TEXTO);
As palavras TEXTO e App.Mensagem est�o errados,causando erros. O computadorn�oreconhece estas palavras. Na hora em que digitar o Código fonte preste bastante Atenção nas letras mai�sculas e min�sculas, por causa de uma letra pode causar erros.
Uma boa pr�tica ao programar utilizando Java � sempre usar o; (ponto-e-v�rgula) no final das suas declara��es, mas seu uso� obrigat�rio.
Voc� precisa utilizaer o ponto-e-v�rgula se utilizar algum compressor de Javascript para reduzir o tamanho do arquivo. como os comperssores distribuem os Códigos em uma �nica linha, sem eles ser� imposs�vel determinar onde come�a e termina uma istru��a, ocasionando erro.
Editor de texto � apenas um processador de texto que � usado para digitar o programa. O texto resultante � conhecido como Código fonte.
O editor de texto � um software que permite ao usu�rio Selecionar trechos de um arquivo, alterar, apagar ou adicionar testo ao Código-fonte.
Código-fonte � uma seq��ncia de instru��es numa linguagem de programa��o. O Código-fonte � escrito por um programador.
Este mesmo Código � traduzido por um outro programador que pode ser pelo navegador no caso do Javascript, pelo servidor no caso do PHP, ou pelo compilador no caso Java.
O Código-fonte � o Código b�sico de um programa.
Para come�ar vamos analisar um exemplo bem simples - abra um editor de texto comum e digite o Código que est� escrito abaixo:
| Arquivo: ExemploJava.java |
// ExemploJava.java |
| Resultado: |
C:\ExemploJava>javac ExemploJava.java C:\ExemploJava>java ExemploJava C:\ExemploJava> |
Salve este documento com o nome página01.java
Assim que o exemplo for salvo no editor de texto (bloco de notas, por exemplo) com a extens�o .java, ao ser executado, o programa enviar� a seq��ncia de caracteres "Esta � minha primeira página" para a sa�da padr�o que � a tela do monitor.
Para criar um arquivo Java, basta definir os elementos e suas formata��es ou um editor de texto, e salv�-lo com a extens�o .java, exemplo:
programa.java
texto.java
arquivo01.java
Basicamente, a sintaxe do corpo do programa consiste em:
| Arquivo NomeDoPrograma.java |
// NomeDoPrograma.java |
| Resultado: |
C:\ExemploJava>javac NomeDoPrograma.java C:\ExemploJava>java NomeDoPrograma C:\ExemploJava> |
No Java, h� a possibilidade de colocar mais de 1 arquivo externo ao documento. Ao inv�s de trabalharmos com o Javainternamente, podemos trabalh�-lo externamente. Em vez de trabalharmos com um arquivo, podemos trabalhar com mais de um arquivo.
Isto pode facilitar e muito a vida do programador.
Abra um editor de texto e copie o arquivo abaixo:
| Arquivo: ExemploJava.java |
// ExemploJava.java |
| Arquivo: arquivoesterno.java |
// arquivoesterno.java |
| Resultado: |
C:\ExemploJava>javac ExemploJava.java C:\ExemploJava>java ExemploJava C:\ExemploJava> |
Salve este arquivo com arquivoesterno.html.
Para incluir um arquivo externo ao documento use o comando src, no exemplo acima o arquivo externo � "teste.js". Devemos sempre salvar este arquivo externo com a extens�o js.
Abra o editor de texto de novo e copie este arquivo abaixo:
Salve este arquivo como teste.js.
Assim que o documento arquivoexterno.html seja executado ao ser executado o programa enviar� para a tela do monitor: "Testando um arquivo externo. Bom dia, Boa tarde e Boa noite. Fim do arquivo externo."
Observa��o: Se voc� est� trabalhando com o arquivo externo do Javascript. N�o use as tags <script> e </script> dentro do Código, o que causaria erros de programa��o. O arquivo teste.js s� aceita comandos Javascript se colocarmos tags html geraria erros, s� use tags html dentro de aspas "duplas" ou 'simples'.
Coment�rio � uma breve nota de explica��o inseridas em um programa para descrever o que ele far�.
Os programadores usam coment�rios em seus programas para que outros programadores (e ele pr�prio) entendam o que o programa faz e como funciona.
Os coment�rios geralmente descrevem o que o programa faz, quem � o seu autor, por que ele foi alterado, e assim por diante. A maioria das linguagens de programa��o usa uma sintaxe pr�pria para a especifica��o de coment�rios, de modo que os coment�rios sejam ignorados pelo compilador.
Os coment�rios n�o s�o analisados pelo programa.
Os coment�rios podem ocupar uma ou v�rias linhas. Veja o exemplo abaixo:
Para inserir um coment�rio de uma linha basta colocar o s�mbolo // antes de qualquer coment�rio.
Exemplo:
| Arquivo: ExemploJava.html |
// ExemploJava.java |
| Resultado: |
C:\ExemploJava>javac ExemploJava.java C:\ExemploJava>java ExemploJava C:\ExemploJava> |
Para inserir coment�rios com mais de uma linha basta colocar os s�mbolos / * para abrir um coment�rio e * / para fechar o coment�rio.
Exemplo:
| Arquivo: ExemploJava.java |
// ExemploJava.java |
| Resultado: |
C:\ExemploJava>javac ExemploJava.java C:\ExemploJava>java ExemploJava C:\ExemploJava> |
�s vezes necessitamos informar algo entre aspas dentro de uma string. Isto pode ser resolvido alterando-se aspas duplas e simples. Isto � usado em Javascript e PHP, veja o exemplo em Javascript.
<script>
document.write("<img src='Teste.gif'>")
</script>
Outro exemplo:
<input Type="button" name="teste" value="Clique Aqui" onclick="alert('Exemplo de Aspas')">
Para inserir um texto no programa use o comando document.write, veja o exemplo abaixo:
| Arquivo ExemploJava.java |
// ExemploJava.java |
| Resultado: |
C:\ExemploJava>javac ExemploJava.java C:\ExemploJava>java ExemploJava C:\ExemploJava> |
Para editar um texto externamente basta usar o comando leia:
| Arquivo: ExemploJava.java |
// ExemploJava.java |
| Resultado: |
C:\ExemploJava>javac ExemploJava.java C:\ExemploJava>java ExemploJava C:\ExemploJava> |
Dentro de uma string de texto, podem ser especificado caracteres especiais mostrados a seguir:
| H�fen | \' |
| Aspas | \" |
| Barra invertida | \\ |
| Nova linha | \n |
| Marca de tabula��o | \t |
| Retorno de carro | \r |
| Backspace | \b |
Exemplo:
| Arquivo: ExemploJava.java |
| //ExemploJava.java public class ExemploJava { public static void main(String[] args) { System.out.print("\t O livro: \"Aprendendo Java\".\n Esta nas livrarias e \\ ou Jornaleiros"); } } |
| Resultado: |
| C:\ExemploJava>javac TesteJava.java C:\ExemploJava>java TesteJava O livro: "Aprendendo Java". Esta nas livrarias e \ ou Jornaleiros C:\ExemploJava> |
Resultado:
O livro: "Manual Pr�tico do Programador". Est� nas livrarias e \ ou jornaleiros.
Vari�veis s�o s�mbolos que representa um valor num�rico ou string usada no programa. O uso de vari�veis d� ao programador flexibilidade para mudar o valor a qualquer momento no programa, mesmo que a princ�pio pare�a n�o ser necess�rio este tipo de flexibilidade.
O conte�do de uma Variável pode mudar a qualquer momento.
Por exemplo, uma Variável chamado cheque poderia conter o n�mero 12, mas o programa teria condi��es de modificar esse valor a qualquer momento.
O nome de uma Variável pode come�ar com uma letra ou sublinhado "_" seguido de números ou letras sem espa�o. Veja alguns exemplos de nomes v�lidos:
nome
Conta_pag
z01
_cod
Variável String � um conjunto contínuo de caracteres alfanuméricos que não cont�m números usados para cálculos. Nomes, Endereços, palavras e frases s�o strings. Esses caracteres podem ser as letras mai�sculas, as letras min�sculas, os números e os caracteres especiais (&, #, @, ?, + ). Exemplos:
"aluno"
"1234"
"@ internet"
"0.34"
"1 + 2"
Observa��o: os dados do tipo literal na linguagem de programa��o s�o sempre representados entre aspas duplas(") ou aspas simples (').
Os dados num�ricos dividem-se em dois grupos: inteiros e reais.
Os números inteiros podem ser positivos ou negativos e N�O possuem parte decimal. Este tipo de dado � armazenado na mem�ria do computador, exemplos:
-23
98
0
1350
-257
237
-2
Os números reais podem ser positivos ou negativos e possuem parte decimal. Este tipo de dado � armazenado na mem�ria do computador, exemplo:
23.45
346.98
-34.88
0.0
-247.0
Observa��o: na linguagem de programa��o, a separa��o entre a parte inteira e a parte decimal de um n�mero � feita pelo ponto (.), e a simples presen�a do ponto j� significa que � um n�mero real.
Variável Booleana � uma express�o cujo resultado s� pode ser verdadeiro (true) ou falso (false).
As vari�veis booleanas s�o mais usadas em:
Este tipo de Variável, quando armazenado na mem�ria do computador, ocupa 1 byte, pois possui apenas duas possibilidades de representa��o: true ou false.
Exemplo:
| Express�o | Resultado | Significado |
| teste=true | verdadeiro | |
| x=false | falso | |
| y=true | verdadeiro | |
| a=4<2 | a=false | falso |
| b=8>3 | b=true | verdadeiro |
| c=(3>2)&&(5<4) | c=false | falso |
| d=(3>4)||(5<4) | d=true | verdadeiro |
O primeiro Operaçãor que voc� deve conhecer � o de atribui��o "=". Ele atribui o conte�do da express�o � sua direita para a Variável do seu lado esquerdo.
x=30
y=10/2 + 6
z=true
a="texto"
Para criar uma Variável, a Variável deve obedecer as seguintes regras:
Dependendo da linguagem de programação usado pelo programador (ASP, Java, PHP, Javascript, Delphi, Visual Basic e outros) cada linguagem recebe regras de programação diferente, por exemplo:
O Java, por exemplo,faz diferencia��o entre letras mai�sculas e min�sculas; portanto a Variável NUM � exatamente diferente a Variável num;
Observa��o: algumas linguagens de programa��o s�o sens�veis � caixa alta e caixa baixa, um exemplo disso � o Java, "Ol�" e "OL�" s�o duas palavras totalmente diferentes. O Delphi por exemplo n�o � sens�vel a caixa, "abc" � exatamente igual a "ABC".
Palavras reservadas s�o nomes utilizados pelo compilador para representar comandos de controle do programa, Operaçãores e nomes de se��es de programas. As palavras reservadas da linguagem Pascal s�o: (veja a tabela abaixo)
| abstact | boolean | break | byte | case | cath |
| char | class | continue | default | do | double |
| else | extends | false | final | finally | float |
| for | if | implements | import | instanceof | int |
| interface | long | native | new | null | package |
| private | protected | public | return | short | static |
| super | switch | synchronized | this | throw | throws |
| transient | true | try | void | while |
Al�m destas existem outras que embora reservadas n�o s�o utilizadas pela linguagem:
| const | future | generic | goto | inner | Operaçãor |
| outer | rest | var | volatile |
Exemplos de vari�veis v�lidos:
A
a
nota
NOTA
x5
A32
Nota_1
MATRICULA
nota_1
dia
IDADE
Exemplos de vari�veis inv�lidos
5b
e 12
x-y
prova 2n
nota(2)
case
Set
matr�cula
Obs: matr�cula com acento no �.
| Tipo | Representa��o | Faixa |
| byte | Num�rico Inteiro | -128 a +127 (8 bits) |
| short | Num�rico Inteiro | -32.768 a +32.767 (16 bits) |
| int | Num�rico Inteiro | -2.147.483.648 a +2.147.483.647 (32 bits) |
| long | Num�rico Inteiro | -9.223.372.036.854.775.808 a +9.223.372.036.854.775.807 (64 bits) |
| float | Num�rico Real | (32 bits) |
| double | Num�rico Real | (64 bits) |
| Boolean | L�gico | true ou false |
| char | 1 caractere | Qualquer caractere que vai de 0 � 65536 |
| String | Cadeia de caracteres | Qualquer conjunto de caracteres |
| Exemplo: |
| int x = 20; String x = "" + (char) x; System.out.println( x ); |
Resolva os exerc�cios abaixo:
Exerc�cio 1: Identifique o tipo dos dados:
(a) num�rico inteiro;
(b) num�rico real;
(c) l�gico;
(d) string.
| (c) true | (b) 45.0 | (a) 1234 | (b) 0.0 |
| (d) "aula" | (d) "c * d" | (a) -234 | (d) "1 2 3 4" |
| (b) -0.342 | (b) 35.23 | (d) "34" | (b) -18.589 |
| (d) " " | (b) -354.0 | (b) -15.2 | (c) false |
| (a) 0 | (a) 897 | (d) "false" | (a) -23 |
Concatenar: Reunir duas strings de caracteres em um s� por exemplo, combinar as duas strings "bom" e "dia" formando uma �nica string "bom dia".
| Arquivo: ExemploJava.java |
// ExemploJava.java |
| Resultado: |
C:\ExemploJava>javac ExemploJava.java C:\ExemploJava>java ExemploJava C:\ExemploJava> |
Quando usamos formul�rios para efetuar cálculos matem�ticos precisamos converter os valores strings dos formul�rios em valores num�ricos, para logo em seguida calcular usando Operaçãores aritm�ticos e funções matem�ticas.
Se n�o convertermos os valores strings para num�ricas impossibilita de efetuarmos cálculos matem�ticos, por exemplo:
| Arquivo: ExemploJava.java |
// ExemploJava.java |
| Resultado: |
C:\ExemploJava>javac ExemploJava.java C:\ExemploJava>java ExemploJava C:\ExemploJava> |
Esta Operação geraria erros de programa��o o correto � usarmos conversores, veja o exemplo abaixo:
| Arquivo: ExemploJava.java |
// ExemploJava.java |
| Resultado: |
C:\ExemploJava>javac ExemploJava.java C:\ExemploJava>java ExemploJava C:\ExemploJava> |
Observando que C j� � um valor num�rico, enquanto A e B s�o strings.
Veja alguns conversores:
Inteiros:
Byte.parseByte(string)
Short.Paíseshort(string)
Integer.parseInt(string)
Long.parseLong(string)
Reais:
Double.parseDouble(string)
Float.parseFloat(string)
Booleanos:
Boolean.parseBoolean(string)
Veja outro exemplo:
| Arquivo: ExemploJava.java |
// ExemploJava.java |
| Resultado: |
C:\ExemploJava>javac ExemploJava.java C:\ExemploJava>java ExemploJava C:\ExemploJava> |
Os valores Largura e Altura s�o valores strings e Area � um valor num�rico. No exemplo acima usamos os formul�rios Altura e Largura, os valores Largura e Altura s�o valores strings enquanto Area � um valor num�rico.
Se efetuarmos os cálculos Area = Altura * Largura/2 sem converter string em num�rica gerar�amos erros de programa��o.
O correto �Area=parseFloat(Altura) * parseFloat(Largura)/2.
Exerc�cio 1: Use a calculadora abaixo:
| Arquivo: ExemploJava.java |
// ExemploJava.java |
| Resultado: |
C:\ExemploJava>javac ExemploJava.java C:\ExemploJava>java ExemploJava C:\ExemploJava> |
Exerc�cio 2: Use esta outra calculadora
| Arquivo: ExemploJava.java |
// ExemploJava.java |
| Resultado: |
C:\ExemploJava>javac ExemploJava.java C:\ExemploJava>java ExemploJava C:\ExemploJava> |
Operaçãores s�o s�mbolos que representa uma Operação matem�tica; s�o tr�s tipos de Operaçãores:
O Operaçãor mais usado � o Operaçãor de atribui��o "=". Ele atribui o conte�do da express�o � sua direita para a Variável do seu lado esquerdo.
X=40
X=20/10 + 5
X=Y
Operaçãores aritm�ticos s�o s�mbolos usados pelo computador + , -, * , /, para efetuar cálculos matem�ticos.
Os Operaçãores aritm�ticos s�o os seguintes:
| Operaçãores | Nome | Utiliza��o |
| + | Adi��o | Soma valores |
| - | Subtra��o | Subtrai valores |
| * | Multiplica��o | Multiplica valores |
| / | Divis�o | Divide valores |
| % | módulo | Determina o resto da divis�o |
Veja os exemplos abaixo:
Exemplo 1: Efetue cálculos usando Operaçãores aritm�ticos
| Operação | Resultado |
| 5 + 8 | 13 |
| 12-7 | 5 |
| 3 * 6 | 18 |
| 10/3 | 3.333333 |
| 10 % 3 | 1 |
Exemplo 2: Efetue cálculos aritm�ticos usando par�nteses
| Operação | Resultado |
| 4 * 2 + 1 | 9 |
| 4 * (2 + 1) | 12 |
| 3 + 5 * 4-2 | 21 |
| (3 + 5) * (4-2) | 16 |
| + | Adi��o |
| - | Subtra��o |
| * | Multiplica��o |
| / | Divis�o |
| ( ) | Par�nteses |
Lista de Exerc�cios:
Exerc�cio 1. Fa�a um programa que receba quatro números inteiros, calcula e mostre a soma desses números
| Arquivo: ExemploJava.java |
// ExemploJava.java |
| Resultado: |
C:\ExemploJava>javac ExemploJava.java C:\ExemploJava>java ExemploJava C:\ExemploJava> |
Exerc�cio 2. Fa�a um programa que receba tr�s notas, calcule e mostre a m�dia aritm�tica entre elas.
| Arquivo: ExemploJava.java |
// ExemploJava.java |
| Resultado: |
C:\ExemploJava>javac ExemploJava.java C:\ExemploJava>java ExemploJava C:\ExemploJava> |
Exerc�cio 4. Fa�a um programa que receba o sal�rio de um funçãon�rio, calcule e mostre o novo sal�rio, sabendo-se que este sofreu um aumento de 25%.
| Arquivo: ExemploJava.java |
// ExemploJava.java |
| Resultado: |
C:\ExemploJava>javac ExemploJava.java C:\ExemploJava>java ExemploJava C:\ExemploJava> |
Exerc�cio 5. Crie um programa que d� o resultado da soma, do produto e da diferen�a.
| Arquivo: ExemploJava.java |
// ExemploJava.java |
| Arquivo teste.java |
C:\ExemploJava>javac ExemploJava.java C:\ExemploJava>java ExemploJava C:\ExemploJava> |
Exerc�cio 6. Crie um programa que d� o quadrado de um n�mero
| Arquivo: ExemploJava.java |
// ExemploJava.java |
| Resultado: |
C:\ExemploJava>javac ExemploJava.java C:\ExemploJava>java ExemploJava C:\ExemploJava> |
Operaçãores relacionais s�o Operaçãores que permitem ao programador comparar dois (ou mais) valores ou express�es.
Os Operaçãores relacionais t�picos s�o: (veja a tabela abaixo:)
| Operaçãor | Significado | Exemplo |
| == | Igual | 3==(4-1) |
| != | Diferente | 5 != (3 + 3) |
| < | Menor que | 3<23 |
| > | Maior que | 41>39 |
| <= | Menor ou igual a | 5 <= 6 |
| >= | Maior ou igual a | 10 >= 10 |
Veja os exemplos abaixo:
Exemplo 1. Veja o seguinte resultado
| Operação | Resultado |
| 23<3 | false (falso) |
| 41>39 | true (verdadeiro) |
| 6 <= 5 | false (falso) |
| 10 >= 10 | true (verdadeiro) |
| 7==8 | false (falso) |
| 48 != 22 | true (verdadeiro) |
Exemplo 2. Se a=100 e b=200, calcule:
| Operação | Resultado |
| a>b | false (falso) |
| b>a | true (verdadeiro) |
| a != b | true (verdadeiro) |
Exemplo 3. Resolva a seguinte Operação:
| Operação | Resultado |
| 23==(4 * 2 + 3 * 5) | true (verdadeiro) |
| 17==(12/2 + 8-5) | false (falso |
23==(4 * 2 + 3 * 5) 23==(8 + 15) 23==23 true |
17==(12/2 + 8-5) 17==6 + 8-5 17==9 false |
Exemplo 4. Dadas as strings abaixo resolva:
| Operação | Resultado |
| "FRED".equals("FRED") | true (verdadeiro) |
| ! "SAM".equals("FRED") | true (verdadeiro) |
| "TWO".equals("ONE") | false (falso) |
| ! "TRHEE".equals("TRHEE") | false (falso) |
| Compara��es de strings n�o s�o feitas com o Operaçãor == e sim com o Método equals ou com equalsIgnoreCase (que ignora mai�sculas e min�sculas). | |
AND, OR, XOR e NOT s�o as opera��es fundamentais a l�gica booleana.
Estes Operaçãores s� aceitam como Operaçãos valores l�gicos: TRUE ou FALSE.
Veja a tabela abaixo
| Operaçãor | Significado |
| And ( && ) | Verdadeiro se ambos os lados da express�o forem verdadeiros. |
| Or ( || ) | Verdadeiro se um ou ambos os lados da express�o forem verdadeiros |
| Xor ( ^ ) | Verdadeiro se apenas um lado for verdadeiro |
| Not ( ! ) | Reverte verdadeiro para falso e vice-versa |
Se voc� est� acostumado com o C, C + + , Java e Javascript j� deve ter notado que seus Operaçãores booleanos usam s�mbolos diferentes.
And � substitu�do por &&
Or � substitu�do por ||
e Not � substitu�do por !
Se o leitor n�o teve nenhum contato com essas linguagens, poder� ter algumas dificuldades iniciais de escrever este tipo de Código. Por exemplo:
(x>2)&&(y==9)
Leia-se: x maior que 2 E y igual a 9
(x<3)||(x>8)
Leia-se: x menor que 3 OU x maior que 8
if((altura>170)||(idade>18)) {
// A��o...
}
Leia-se: se altura maior que 170 cent�metros OU idade maior que 18 anos...
Veja a tabela abaixo:
| S�mbolo | Operação |
| && | And (E) |
| || | Or (Ou) |
| ! | Not (N�o) |
Existem os Operaçãores bin�rios (semelhantes aos Operaçãores acima), veja a tabela abaixo:
| S�mbolo | Operação |
| & | And l�gico |
| | | Or l�gico |
| ^ | Xor l�gico |
Iremos estudar cada um:
AND (&&) � verdadeiro se ambas as entradas forem verdadeiras, veja o quadro abaixo:
| (a==true)&&(b==true) o resultado � true (verdadeiro) |
| (a==false)&&(b==true) o resultado � false (falso) |
| (a==true)&&(b==false) o resultado � false (falso) |
| (a==false)&&(b==false) o resultado � false (falso) |
Por exemplo a express�o:
(3 + 2==5)&&(6 + 2==8)
� verdadeira porque as express�es em ambos os lados de And s�o verdadeiras. no entanto, a express�o:
(4 + 3==9)&&(3 + 3==6)
� falsa, porque a express�o � esquerda de And � falsa. Lembre-se disto quando combinar express�es com And: se qualquer express�o for falsa, toda a express�o ser� falsa.
OR (||) � verdadeiro se qualquer uma das entradas for verdadeira, veja o quadro abaixo:
| (a==true)||(b==true) o resultado � true (verdadeiro) |
(a==false)||(b==true) o resultado � true (verdadeiro) |
| (a==true)||(b==false) o resultado � true (verdadeiro) |
| (a==false)||(b==false) o resultado � false (falso) |
Por exemplo, as express�es:
(3 + 6==2)||(4 + 4==8)
e
(4 + 1==5)||(7 + 2==9)
S�o ambas verdadeiras porque pelo menos uma das express�es comparada � verdadeira. Observe que no segundo caso, ambas as express�es comparadas s�o verdadeiras, o que tamb�m torna verdadeira uma express�o Or.
Um XOR (OU exclusivo) � verdadeiro se somente uma das entradas for verdadeira e n�o ambas, veja o quadro abaixo:
| (a==true)^(b==true) o resultado � false (falso) |
| (a==false)^(b==true) o resultado � true (verdadeiro) |
| (a==true)^(b==false) o resultado � true (verdadeiro) |
| (a==false)^(b==false) o resultado � false (falso) |
Por exemplo, a express�o:
(3 + 6==2)^(4 + 4==8)
� verdadeira porque apenas a express�o (4 + 4=8) � verdadeira. No entanto a express�o:
(4 + 1==5)^(7 + 2==9)
� falsa, porque ambas as express�es s�o verdadeiras.
NOT (!) Uma Operação l�gica booleana que inverte a entrada. Se a entrada for true, a sa�da � false, e vice-versa, veja o quadro abaixo:
| !(true) o resultado � false |
| !(false) o resultado � true |
Por exemplo, a express�o:
(4 + 3==5)
N�o � verdadeira; no entanto a express�o
!(4 + 3==5)
� verdadeira porque o Operaçãor Not reverte para verdadeiro o resultado falso da express�o (4 + 3=5).
Observe esta express�o:
(4 + 5==9) && !(3 + 1==3)
Esta express�o � verdadeira ou falsa? Se voc� disse verdadeira, compreende a forma como funcionam os Operaçãores l�gicos. As express�es em ambos os lados de And s�o verdadeiras, ent�o toda a express�o � verdadeira.
Veja exemplos abaixo:
Exemplo 1. Resulta as seguintes opera��es booleanas
| Express�o | Resultado |
| (3>2)&&(5>4) | true (verdadeiro) |
| (2>1)&&(7>8) | false (falso) |
| (3>4)||(9>2) | true (verdadeiro) |
| (7>7)||(4>4) | false (falso) |
| (2==2)^(5==5) | false (falso) |
| (4>5)^(4<5) | true (verdadeiro) |
| ! true | false (falso) |
| ! (9<1)||(9<1) | true (verdadeiro) |
Exemplo 2. Se a=100, b=200 e c=300, resolva:
| Express�o | Resultado |
| b>a && c>b | true (verdadeiro) |
| b>a && b==c | falso (falso) |
| b>a || b==c | true (verdadeiro) |
| b>a ^ c>b | false (falso) |
| ! a <> b | false (falso) |
Exemplo 3. Resolva a seguinte Operação:
(4 * (3 + 5))/2>100 || (5 * (3 + 4)/2<100)
Solu��o
(4 * (3 + 5))/2>100 || (5 * (3 + 4)/2<100)
(4 * 8)/2>100 || (5 * 7/2<100)
32/2>100 || (35/2<100)
16>100 || 17.5<100
false || false
false
Observe a lista de prioridades abaixo:
Resumindo
| N�vel de prioridade | Operaçãores | Ordem | |
| Mais alta: | 1 | Vari�veis | da esquerda para a direita |
| 2 | Propriedades do Objeto | da esquerda para a direita | |
| 3 | Par�nteses | da esquerda para a direita | |
| 4 | funções | da esquerda para a direita | |
| 5 | Potencia��o | da esquerda para a direita | |
| 6 | * , /, % | da esquerda para a direita | |
| 7 | + , - | da esquerda para a direita | |
| 8 | >, <, >= , <= , ==, != | da esquerda para a direita | |
| 9 | ! | da esquerda para a direita | |
| Mais baixa: | 10 | &&, || | da esquerda para a direita |
O comando If � uma instru��o de linguagem de programa��o que compara dois ou mais conjuntos de dados e verifica os resultados. Se o resultado for verdadeiro, as instru��es que seguem o comando If ser�o executados; se n�o, as instru��es que seguirem o comando Else ser�o executados. Veja o exemplo abaixo:
Vejamos:
| Arquivo ExemploJava.java |
// ExemploJava.java |
| Resultado: |
C:\ExemploJava>javac ExemploJava.java C:\ExemploJava>java ExemploJava C:\ExemploJava> |
Outro exemplo a seguir tamb�m � um exemplo bem simples:
| Arquivo ExemploJava.java |
// ExemploJava.java |
| Resultado |
C:\ExemploJava>javac ExemploJava.java C:\ExemploJava>java ExemploJava C:\ExemploJava> |
Vamos ver um exemplo:
| Arquivo ExemploJava.java |
// ExemploJava.java |
| Resultado: |
C:\ExemploJava>javac ExemploJava.java C:\ExemploJava>java ExemploJava C:\ExemploJava> |
O sistema s� executar� o comando document.write quando o valor da Variável desconto for maior que 0. Agora, ficou claro que este comando � muito �til para dar ao sistema uma esp�cie de "poder de decis�o". na verdade, estamos programando o sistema para cada tipo de situa��o e ent�o o software agir� conforme a necessidade de cada problema, situa��o ou estado do sistema naquele momento.
Podemos dar ao fluxo mais uma op��o utilizando a cl�usula else. Nesse caso, o fluxo executar� o bloco antes ou depois desta cl�usula. No exemplo anterior, podemos incrementar o Código com mais uma situa��o.
| Arquivo ExemploJava.java |
// ExemploJava.java |
| Resultado: |
C:\ExemploJava>javac ExemploJava.java C:\ExemploJava>java ExemploJava C:\ExemploJava> |
Para entender melhor o exemplo troque o valor da Variável Descontos para zero e teste novamente.
A cl�usulaelse ifnos permite ter v�rias express�es dentro do mesmo comando If. Isso permite escolher entre v�rias situa��es e, caso nenhuma retorne verdadeiro, o fluxo ir� para a cl�usula else, se esta for utilizada. Veja
| Arquivo: ExemploJava.java |
// ExemploJava.java |
| Resultado: |
C:\ExemploJava>javac ExemploJava.java C:\ExemploJava>java ExemploJava C:\ExemploJava> |
Podemos observar que a cl�usula else if pode ser utilizada v�rias vezes, permitindo calcular v�rias faixas para um valor de sal�rio. Aqui, utilizamos a Variável Salario, mas este valor pode vir de um banco de dados que ser� alimentado por usu�rios do sistema, em momento totalmente distinto a sua programa��o.
Por isso, os sistemas s�o bastante flex�veis aos dados e devem trat�-los de acordo com as normas e legisla��es vigentes.
Podemos verificar isso no exemplo anterior, no qual para cada faixa salarial � aplicado um imposto que, em um software oficial, deve estar de acordo com as normas legais.
Lista de exerc�cios
Exerc�cio 1. Elaborar um algoritmo para receber um n�mero inteiro e informar se ele � par ou �mpar.
| Arquivo ExemploJava.java |
// ExemploJava.java |
| Resultado: |
C:\ExemploJava>javac ExemploJava.java C:\ExemploJava>java ExemploJava C:\ExemploJava> |
Exerc�cio 2. Receber a temperatura - em graus Celsius - de uma pessoa e emitir uma mensagem se ela estiver com febre.
| Arquivo ExemploJava.java |
// ExemploJava.java |
| Resultado: |
C:\ExemploJava>javac ExemploJava.java C:\ExemploJava>java ExemploJava C:\ExemploJava> |
Exerc�cio 3. Crie um algoritmo que informa se voc� � do sexo masculino ou feminino
| Arquivo ExemploJava.java |
/* |
| Resultado: |
C:\ExemploJava>javac ExemploJava.java C:\ExemploJava>java ExemploJava C:\ExemploJava> |
Exerc�cio 4. Fa�a um programa que indique se o ano � bissexto ou n�o.
| Arquivo ExemploJava.java |
// ExemploJava.java |
| Resultado: |
C:\ExemploJava>javac ExemploJava.java C:\ExemploJava>java ExemploJava C:\ExemploJava> |
| < | Menor que |
| > | Maior que |
| == | Igual a |
| <= | Menor ou Igual a |
| >= | Maior ou igual a |
| != | Diferente |
Lista de exerc�cios
Exerc�cio 1. Fa�a um programa que indique se ele � maior, menor ou igual a 100.
| Arquivo ExemploJava.java |
// ExemploJava.java |
| Resultado: |
C:\ExemploJava>javac ExemploJava.java C:\ExemploJava>java ExemploJava C:\ExemploJava> |
Exerc�cio 2. Fa�a um programa que indique se ele � positivo, negativo ou igual a 0.
| Arquivo ExemploJava.java |
// ExemploJava.java |
| Resultado: |
C:\ExemploJava>javac ExemploJava.java C:\ExemploJava>java ExemploJava C:\ExemploJava> |
Exerc�cio 3. Fa�a um programa que receba dois números e mostre o maior.
| Arquivo ExemploJava.java |
// ExemploJava.java |
| Resultado: |
C:\ExemploJava>javac ExemploJava.java C:\ExemploJava>java ExemploJava C:\ExemploJava> |
Exerc�cio 4. Criar um algoritmo que receba a idade e informe se � crian�a, adolescente, adulto ou idoso:
| Arquivo ExemploJava.java |
// ExemploJava.java |
| Resultado: |
C:\ExemploJava>javac ExemploJava.java C:\ExemploJava>java ExemploJava C:\ExemploJava> |
| AND | && | (E) |
| OR | || | (OU) |
| NOT | ! | (N�O) |
Lista de exerc�cios
Exerc�cio 1. Fa�a um programa que receba tr�s notas de um aluno, calcule e mostre a m�dia aritm�tica e diga se foi aprovado, reprovado ou em recupera��o.
| Arquivo ExemploJava.java |
// ExemploJava.java |
| Resultado: |
C:\ExemploJava>javac ExemploJava.java C:\ExemploJava>java ExemploJava C:\ExemploJava> |
Exerc�cio 2. Fa�a um programa que receba tr�s notas de um aluno, calcule e mostre a m�dia aritm�tica e diga se tirou nota A, B, C, D, ou E.
| Arquivo ExemploJava.java |
// ExemploJava.java |
| Resultado: |
C:\ExemploJava>javac ExemploJava.java C:\ExemploJava>java ExemploJava C:\ExemploJava> |
Exerc�cio 3. Dados tr�s valores A, B, C, verificar se eles formam um tri�ngulo eq�il�tero, is�sceles ou escaleno.
| Arquivo teste.java |
// ExemploJava.java |
| Resultado: |
C:\ExemploJava>javac ExemploJava.java C:\ExemploJava>java ExemploJava C:\ExemploJava> |
Exerc�cio 4. Crie uma estrutura de decis�o comparando dois alunos e informe se ele foram aprovados ou reprovados
| Arquivo ExemploJava.java |
/* |
| Resultado: |
C:\ExemploJava>javac ExemploJava.java C:\ExemploJava>java ExemploJava C:\ExemploJava> |
Repare nesta outra constru��o para comando if aninhado:
| Arquivo ExemploJava.java |
// ExemploJava.java |
C:\ExemploJava>javac ExemploJava.java C:\ExemploJava>java ExemploJava C:\ExemploJava> |
Embora essa constru��o seja perfeitamente v�lida, h� uma forma mais eficiente de se obter os mesmos resultados. � o comando case cujo funcionamento � muito parecido com os if's aninhados:
| Arquivo ExemploJava.java |
// ExemploJava.java |
| Resultado: |
C:\ExemploJava>javac ExemploJava.java C:\ExemploJava>java ExemploJava C:\ExemploJava> |
Este comando permite que v�rias compara��es sejam feitas e, no final, apenas uma seja escolhida para executar um Código espec�fico da condi��o Selecionada. Ele funciona igualmente a v�rios ifs, mas agora ele testa os valores de uma mesma Variável.
Vejamos um exemplo:
| Arquivo ExemploJava.java |
// ExemploJava.java |
| Resultado: |
C:\ExemploJava>javac ExemploJava.java C:\ExemploJava>java ExemploJava C:\ExemploJava> |
No exemplo anterior, o comando Case testar� linha a linha, em busca de um case que corresponda ao valor da Variável.
Quando encontrar o valor correspondente, executar� os comandos que vir�o logo ap�s este case.
Em linguagens de programa��o tais como o C, Java, Javascript PHP, esses comandos estar�o entre { }, se for mais que um. Teste o Código e veja como fica.
Quando precisamos executar apenas o case que corresponda ao valor da Variável, utilizaremos um comando que tem a caracter�stica de para fluxos de execu��o, o comando break. Caso esse n�o seja utilizado, todos os cases ap�s o case que corresponda ao valor da Variável de refer�ncia ser�o executados.
Utilizando o exemplo anterior, veremos como ficaria o Código com o uso do comando break:
| Arquivo ExemploJava.java |
// ExemploJava.java |
| Resultado: |
C:\ExemploJava>javac ExemploJava.java C:\ExemploJava>java ExemploJava C:\ExemploJava> |
No exemplo anterior, apenas os comandos que correspondam ao case que tem o mesmo valor da Variável ser�o executados.
Teste os exemplos anteriores, veja a diferen�a entre eles e descobrir� que o exemplo que possui o break �, nesse caso, o correto.
Exemplo 1. Determine o n�mero de dias durante um m�s
| Arquivo ExemploJava.java |
// ExemploJava.java |
| Resultado: |
C:\ExemploJava>javac ExemploJava.java C:\ExemploJava>java ExemploJava C:\ExemploJava> |
Exemplo 2. Crie um algoritmo que informe o dia da semana
| Arquivo ExemploJava.java |
/* |
| Resultado: |
C:\ExemploJava>javac ExemploJava.java C:\ExemploJava>java ExemploJava C:\ExemploJava> |
Exemplo 3: Crie um algoritmo que d� um aviso de bom dia, boa tarde e boa noite:
| Arquivo ExemploJava.java |
/* |
| Resultado: |
C:\ExemploJava>javac ExemploJava.java C:\ExemploJava>java ExemploJava C:\ExemploJava> |
Exemplo 4. Crie um programa que gerencie um caixa eletr�nico
| Arquivo ExemploJava.java |
/* |
| Resultado: |
C:\ExemploJava>javac ExemploJava.java C:\ExemploJava>java ExemploJava Escolha sua op��o C:\ExemploJava> |
Exerc�cio 5. Crie uma calculadora com as 4 opera��es da matem�tica: adi��o, subtra��o, divis�o e multiplica��o.
| Arquivo ExemploJava.java |
/* N�o � poss�vel usar |
| Resultado: |
C:\ExemploJava>javac ExemploJava.java C:\ExemploJava>java ExemploJava C:\ExemploJava> |
Exerc�cio 6. Crie um programa que digite um caractere e diga se ele � vogal mai�scula, valor num�rico, Operaçãor aritm�tico ou outro caractere.
| Arquivo ExemploJava.java |
/* |
| Resultado: |
C:\ExemploJava>javac ExemploJava.java C:\ExemploJava>java ExemploJava C:\ExemploJava> |
Diferente da instru��o IF, o Operaçãor tern�rio tem este nome porque necessita de tr�s Operaçãos para se avaliado. OOperaçãor tern�rio tem a seguinte forma:
condi��o1 ? express�o_verdadeira : espress�o_falsa
Para avaliar o resultado da express�o primeiro a condi��o1 � avaliada. Caso este resultado seja verdadeiro ent�o resultado da express�o ser� igual ao valor da express�o_verdadeira, no caso contr�rio express�o_falsa � avaliada e se torna o resultado.
Exemplo 1:
| Arquivo ExemploJava.java |
// ExemploJava.java |
| Resultado: |
C:\ExemploJava>javac ExemploJava.java C:\ExemploJava>java ExemploJava C:\ExemploJava> |
Exemplo 2:
| Arquivo ExemploJava.java |
// ExemploJava.java |
| Resultado: |
C:\ExemploJava>javac ExemploJava.java C:\ExemploJava>java ExemploJava C:\ExemploJava> |
Exemplo 3:
| Arquivo ExemploJava.java |
| // ExemploJava.java import java.util.Scanner; public class ExemploJava { public static void main(String[] args) { Scanner teclado = new Scanner(System. in ); System.out.println("Digite a primeira nota"); String Nota1 = teclado.next(); System.out.println("Digite a segunda nota"); String Nota2 = teclado.next(); System.out.println("Digite a terceira nota"); String Nota3 = teclado.next(); float nota1 = Float.parseFloat(Nota1); float nota2 = Float.parseFloat(Nota2); float nota3 = Float.parseFloat(Nota3); float media; String resultado; media = (nota1 + nota2 + nota3) / 3; resultado = (media >= 6) && (media <= 10) ? "Aprovado" : "Reprovado"; System.out.println(resultado); } } |
| Resultado: |
C:\ExemploJava>javac ExemploJava.java C:\ExemploJava>java ExemploJava C:\ExemploJava> |
O comando FOR � uma estrutura de repeti��o que repete uma s�rie de instru��es um n�mero especificado de vezes. Digamos que deseje imprimir seu nome na tela dez vezes, por exemplo:
| Arquivo: ExemploJava.java |
| // ExemploJava.java import java.util.Scanner; public class ExemploJava { public static void main(String[] args) { Scanner teclado = new Scanner(System. in ); System.out.println("Digite um nome: "); String nome = teclado.next(); System.out.println(""); System.out.println(nome); System.out.println(nome); System.out.println(nome); System.out.println(nome); System.out.println(nome); System.out.println(nome); System.out.println(nome); System.out.println(nome); System.out.println(nome); System.out.println(nome); } } |
| Resultado: |
C:\ExemploJava>javac ExemploJava.java C:\ExemploJava>java ExemploJava Bart C:\ExemploJava> |
Quando voc� rodar o programa, digite um nome na caixa de texto e clique no bot�o Ok ou d� Enter. Quando o fizer, o programa imprimir� o nome dez vezes na janela do formul�rio, como mostrado a seguir:
Bart Simpson
Bart Simpson
Bart Simpson
Bart Simpson
Bart Simpson
Bart Simpson
Bart Simpson
Bart Simpson
Bart Simpson
Bart Simpson
Ter muitas linhas em seu programa contendo instru��es id�nticas alonga-o al�m do necess�rio e desperdi�a mem�ria. Tamb�m mostra um estilo de programa��o ruim. Ao menos que voc� deseje que seus amigos programadores riam de voc� pelas costas, aprenda a substituir Códigos de programa redundante por loops de programa.
A rotina do programa anterior pode ser extremamente f�cil usando-se um loop For, e aqui est� como:
| Arquivo ExemploJava.java |
// ExemploJava.java |
| Resultado: |
C:\ExemploJava>javac ExemploJava.java C:\ExemploJava>java ExemploJava Bart C:\ExemploJava> |
Substitua a rotina do programa anterior por esta. Quando voc� roda o programa, a sa�da ser� id�ntica �quela do primeiro programa, mas agora o programa � menor e sem Código redundante.
Exerc�cio 1. Crie uma estrutura de repeti��o que conte de 1 at� 10.
| Arquivo ExemploJava.java |
// ExemploJava.java |
| Resultado: |
C:\ExemploJava>javac ExemploJava.java C:\ExemploJava>java ExemploJava C:\ExemploJava> |
Resultado: 1, 2, 3, 4, 5, 6, 7, 8, 9, 10,
Exerc�cio 2. Crie uma estrutura de repeti��o que imprima os números pares.
| Arquivo ExemploJava.java |
// ExemploJava.java |
| Resultado: |
C:\ExemploJava>javac ExemploJava.java C:\ExemploJava>java ExemploJava C:\ExemploJava> |
Resultado: 0, 2, 4, 6, 8, 10, 12, 14, 16, 18, 20,
Exerc�cio 3. Crie uma estrutura de repeti��o que imprima os números �mpares.
| Arquivo teste.html |
<html> |
| Arquivo ExemploJava.java |
// ExemploJava.java |
| Resultado: |
C:\ExemploJava>javac ExemploJava.java C:\ExemploJava>java ExemploJava C:\ExemploJava> |
Resultado: 1, 3, 5, 7, 9, 11, 13, 15, 17, 19, 21,
Exerc�cio 4. Crie uma estrutura de repeti��o que imprima os números m�ltiplos de 5.
| Arquivo teste.html |
<html> |
| Arquivo ExemploJava.java |
// ExemploJava.java |
| Resultado: |
C:\ExemploJava>javac ExemploJava.java C:\ExemploJava>java ExemploJava C:\ExemploJava> |
Resultado: 0, 5, 10, 15, 20, 25, 30, 35, 40, 45, 50,
Exerc�cio 5. Crie uma estrutura de repeti��o que conte de 110 at� 120.
| Arquivo ExemploJava.java |
// ExemploJava.java |
| Resultado: |
C:\ExemploJava>javac ExemploJava.java C:\ExemploJava>java ExemploJava C:\ExemploJava> |
Resultado: 110, 111, 112, 113, 114, 115, 116, 117, 118, 119, 120,
Exerc�cio 6. Crie uma estrutura de repeti��o que conte de 40 at� 80 e ao mesmo tempo imprima números m�ltiplos de 8.
| Arquivo ExemploJava.java |
// ExemploJava.java |
| Resultado: |
C:\ExemploJava>javac ExemploJava.java C:\ExemploJava>java ExemploJava C:\ExemploJava> |
Resultado: 40, 48, 56, 64, 72, 80,
Exerc�cio 7. Crie uma estrutura de repeti��o que conte de 20 at� 1 invertidamente.
| Arquivo teste.java |
// ExemploJava.java |
| Resultado: |
C:\ExemploJava>javac ExemploJava.java C:\ExemploJava>java ExemploJava C:\ExemploJava> |
Resultado: 20, 19, 18, 17, 16, 15, 14, 13, 12, 11, 10, 9, 8, 7, 6, 5, 4, 3, 2, 1,
Exerc�cio 8. Crie uma estrutura de repeti��o que conte de -10 at� + 10 (números negativos e números positivos)
| Arquivo ExemploJava.java |
// ExemploJava.java |
| Resultado: |
C:\ExemploJava>javac ExemploJava.java C:\ExemploJava>java ExemploJava C:\ExemploJava> |
Resultado: -10, -9, -8, -7, -6, -5, -4, -3, -2, -1, 0, 1, 2, 3, 4, 5, 6, 7, 8, 9, 10,
Exerc�cio 9. Crie uma estrutura de repeti��o que conte de -25 at� -15.
| Arquivo teste.html |
<html> |
| Arquivo ExemploJava.java |
// ExemploJava.java |
| Resultado: |
C:\ExemploJava>javac ExemploJava.java C:\ExemploJava>java ExemploJava C:\ExemploJava> |
Resultado: -25, -24, -23, -22, -21, -20, -19, -18, -17, -16, -15,
Exerc�cio 10. Crie um conjunto dos números m�ltiplos de 3 usando a estrutura de repeti��o FOR.
| Arquivo ExemploJava.java |
// ExemploJava.java |
| Resultado: |
C:\ExemploJava>javac ExemploJava.java C:\ExemploJava>java ExemploJava C:\ExemploJava> |
Resultado: 0, 3, 6, 9, 12, 15, 18, 21, 24, 27, 30,
Exerc�cio 11. Crie uma estrutura de repeti��o de 1 at� 10, informando o quadrado deste n�mero.
| Arquivo ExemploJava.java |
// ExemploJava.java |
| Resultado: |
C:\ExemploJava>javac ExemploJava.java C:\ExemploJava>java ExemploJava C:\ExemploJava> |
Exerc�cio 12. Crie uma estrutura de repeti��o que imprima "Ol�" dez vezes.
| Arquivo ExemploJava.java |
// ExemploJava.java |
| Resultado: |
C:\ExemploJava>javac ExemploJava.java C:\ExemploJava>java ExemploJava |
O comando while � utilizado quando se deseja repetir um comando, ou um grupo de comandos, enquanto uma dada condi��o for verdadeira. Um exemplo muito simples � o de escrever os números inteiros entre 1 e 10 na tela. Para isto podemos construir um programa muito simples para esta tarefa
| Arquivo ExemploJava.java |
// ExemploJava.java |
| Resultado: |
C:\ExemploJava>javac ExemploJava.java C:\ExemploJava>java ExemploJava C:\ExemploJava> |
Segundo o programa acima podemos ver que o programa termina quando o teste i <= 10 der como resultado false.
Para que isto ocorra, necessariamente devemos ter i>10. A cada passo o programa primeiro testa a condi��o e ap�s imprime e incrementa a Variável. Assim o programa deve gerar seq�encialmente os valores 1, 2, 3... 10. Ap�s o valor 10 faz i=11 e volta a testar a condi��o. Neste caso (11 <= 10) � false e o programa termina.
Exerc�cio 1. Crie uma estrutura de repeti��o que conte de 1 at� 10.
| Arquivo ExemploJava.java |
// ExemploJava.java |
| Resultado: |
C:\ExemploJava>javac ExemploJava.java C:\ExemploJava>java ExemploJava C:\ExemploJava> |
Resultado: 1, 2, 3, 4, 5, 6, 7, 8, 9, 10,
Exerc�cio 2. Crie uma estrutura de repeti��o que imprima os números pares
| Arquivo ExemploJava.java |
// ExemploJava.java |
| Resultado: |
C:\ExemploJava>javac ExemploJava.java C:\ExemploJava>java ExemploJava C:\ExemploJava> |
Resultado: 0, 2, 4, 6, 8, 10, 12, 14, 16, 18, 20,
Exerc�cio 3. Crie uma estrutura de repeti��o que imprima os números �mpares.
| Arquivo ExemploJava.java |
// ExemploJava.java |
| Resultado: |
C:\ExemploJava>javac ExemploJava.java C:\ExemploJava>java ExemploJava C:\ExemploJava> |
Resultado: 1, 3, 5, 7, 9, 11, 13, 15, 17, 19,
Exerc�cio 4. Crie uma estrutura de repeti��o que imprima os números m�ltiplos de 5.
| Arquivo ExemploJava.java |
// ExemploJava.java |
| Resultado: |
C:\ExemploJava>javac ExemploJava.java C:\ExemploJava>java ExemploJava C:\ExemploJava> |
Resultado: 0, 5, 10, 15, 20, 25, 30, 35, 40, 45, 50,
Exerc�cio 5. Crie uma estrutura de repeti��o que conte de 110 at� 120.
| Arquivo ExemploJava.java |
// ExemploJava.java |
| Resultado: |
C:\ExemploJava>javac ExemploJava.java C:\ExemploJava>java ExemploJava C:\ExemploJava> |
Resultado: 110, 111, 112, 113, 114, 115, 116, 117, 118, 119, 120,
Exerc�cio 6. Crie uma estrutura de repeti��o que conte de 40 at� 80 e ao mesmo tempo imprima números m�ltiplos de 8.
| Arquivo ExemploJava.java |
// ExemploJava.java |
| Resultado: |
C:\ExemploJava>javac ExemploJava.java C:\ExemploJava>java ExemploJava C:\ExemploJava> |
Resultado: 40, 48, 56, 64, 72, 80,
Exerc�cio 7. Crie uma estrutura de repeti��o que conte de 20 at� 1 invertidamente.
| Arquivo ExemploJava.java |
// ExemploJava.java |
| Resultado: |
C:\ExemploJava>javac ExemploJava.java C:\ExemploJava>java ExemploJava C:\ExemploJava> |
Resultado: 20, 19, 18, 17, 16, 15, 14, 13, 12, 11, 10, 9, 8, 7, 6, 5, 4, 3, 2, 1,
Exerc�cio 8. Crie uma estrutura de repeti��o que conte de -10 at� + 10 (números negativos e números positivos)
| Arquivo ExemploJava.java |
// ExemploJava.java |
| Resultado: |
:\ExemploJava>javac ExemploJava.java :\ExemploJava>java ExemploJava :\ExemploJava> |
Resultado: -10, -9, -8, -7, -6, -5, -4, -3, -2, -1, 0, 1, 2, 3, 4, 5, 6, 7, 8, 9, 10,
Exerc�cio 9. Crie uma estrutura de repeti��o que conte de -25 at� -15.
| Arquivo ExemploJava.java |
// ExemploJava.java |
| Resultado: |
C:\ExemploJava>javac ExemploJava.java C:\ExemploJava>java ExemploJava C:\ExemploJava> |
Resultado: -25, -24, -23, -22, -21, -20, -19, -18, -17, -16, -15,
Exerc�cio 10. Crie um conjunto dos números m�ltiplos de 3 usando a estrutura de repeti��o while.
| Arquivo ExemploJava.java |
// ExemploJava.java |
| Resulado: |
C:\ExemploJava>javac ExemploJava.java C:\ExemploJava>java ExemploJava C:\ExemploJava> |
Resultado: 0, 3, 6, 12, 15, 18, 21, 24, 27, 30,
Exerc�cio 11. Antes de executar um programa, crie uma mensagem informando se deseja prosseguir.
<script language="javascript">
tentativas=1
while(tentativas <= 3){
resposta=prompt("Voc� deseja prosseguir (s ou n)?","")
if (resposta=="s"){
document.write("<br>Execute o programa.")
break;
}
else if(resposta=="n") {
document.write("<br>Fim do programa.")
break;
} else {
document.write("<br>Op��o inv�lida:")
document.write("<br>Tente novamente.")
tentativas=tentativas + 1
}
}
if (tentativas >= 4) {
document.write("<br>vou assumir como um n�o")
}
</script>
Assim como a instru��o For e a instru��o while, vistos anteriormente, o loop invertido, ao contr�rio do comando while, � um bloco de comando que ser� executado pelo menos uma vez e ser� repetido at� que a condi��o associada seja verdadeira.
H� situa��es em que � importante se garantir a execu��o de uma seq��ncia de comandos pelo menos uma vez. Veja um exemplo simples:
<script language="javascript">
mes=prompt("Digite o m�s:")
mes=parseFloat(mes)
while(mes<1 || mes>12) {
document.write("<br>Digita��o errada! Digite de novo.")
mes=prompt("Digite o m�s:")
mes=parseFloat(mes)
}
</script>
Observe que, repetimos duas vezes o mesmo comando: "Digite o m�s".
Podemos simplificar este comando somente uma vez, usando a estrutura de repeti��o do while .
do while � o loop invertido de while.
Usando o exemplo anterior iremos substituir o comando while pelo comando do , observe:
<script language="javascript">
do {
mes=prompt("Digite o m�s:")
mes=parseFloat(mes)
if(mes<1 || mes>12){
document.write("<br>Digita��o errada! Digite de novo")
}
} while (mes<1 || mes>12)
</script>
Pode-se tamb�m utilizar este comando para execu��es sucessivas de um programa. Neste caso, � comum se fazer uma pergunta do tipo "Deseja continuar (s/n)?" ap�s cada execu��o.
Naturalmente, � necess�rio uma Variável do tipo caractere que receba a resposta do usu�rio e que ser� utilizada para controlar a estrutura de repeti��o. Ter�amos algo como:
<script language="javascript">
// ...
do {
/ * Seq��ncia de comandos do programa propriamente dito * /
Resp=prompt("Deseja continuar (s/n)?","")
} while(Resp.toUpperCase()!="N")
</script>
Vale lembrar que a função toUpperCase() retorna o argumento no formato mai�sculo.
Observe mais um exemplo:
<script language="javascript">
do {
num=prompt("Digite um n�mero:","")
num=parseFloat(num)
if (num<100) {
document.write("<br>O n�mero " + num + " � menor do que 100")
}
fim=prompt("Deseja testar outro [S/N] ?","")
} while (fim.toUpperCase()!="N")
</script>
Veja o exemplo abaixo:
Atenção, n�o teste este Código!
String Texto ="";
int Contador=0;int n=0;
while(Contador<=10){
Texto += n + ", ";
n=n + 1;
}
return Texto;
N�o teste este Código
Se voc� entendeu os exemplos anteriores sobre os loops, deve perceber que existe um erro nesse exemplo. Como pode ver a condi��o do loop while refere-se � Variável contador, mas essa Variável realmente n�o se altera durante o loop. Isso crua um loop infinito. O loop continuar� executando at� que seja interrompido pelo usu�rio ou at� gerar algum tipo de erro.
Os loops infinitos nem sempre podem ser interrompidos pelo usu�rio, exceto fechando onavegador, em alguns casos os loops infinitos podem at� impedir que onavegadorfeche ou provocar uma pane no sistema.
Eles tamb�m podem ser dif�ceis de serem identificados, porque este tipo de Código n�o lhe mostrar� um erro dizendo que h� um loop infinito. Mas n�o se preocupe, pois esse tipo de loop pode ser evitado, o que tem que fazer �: toda vez que for criar um loop em um script, voc� deve ter cuidado de certificar-se de que h� uma sa�da.
Nota: Dependendo da vers�o do navegador em utiliza��o, o loop infinito pode at� mesmo fazer o navegador para de responder ao usu�rio. Certifique-se de fornecer uma rota de escape de loops infinitos e salvar seu script at� test�-lo, em qualquer eventualidade.
Ocasionalmente, voc� pode querer criar um loop infinito. Isso talvez inclua situa��es em que voc� quer que seu programa execute at� o usu�rio interromp�-lo ou em que fornece uma rota de escape com a instru��obreak. Uma maneira de criar um loop infinito � o seguinte:
while(true) { ...}
Como o valor true � condicional, esse loop sempre encontrar� sua condi��o como sendo verdadeira.
H� uma maneira de escapar de um loop infinito. Voc� pode utilizar a instru��obreak(que significa parar) durante um loop para sair dele imediatamente e continuar a primeira instru��o depois do loop. O exemplo abaixo mostra o uso dessa instru��o.
| Arquivo ExemploJava.java |
// ExemploJava.java |
| Resultado: |
C:\ExemploJava>javac ExemploJava.java C:\ExemploJava>java ExemploJava C:\ExemploJava> |
Embora a instru��o while esteja configurada como um loop infinito, a instru��o if verifica o valor correspondente. Se total maior que 100, sai do loop.
Quando este tipo de Código encontra uma instru��obreak, ele pula o resto do loop e continua o script com a primeira instru��o depois da chave de fechamento no final do loop. Voc� pode utiliza a instru��obreakem qualquer tipo de loop, seja infinita ou n�o.
O comandoBreakinterrompe o comando while ou For que est� sendo executado e transfere o controle do programa para o comando seguinte aquele que encerra o loop.
| Arquivo ExemploJava.java |
// ExemploJava.java |
| Resultado: |
C:\ExemploJava>javac ExemploJava.java C:\ExemploJava>java ExemploJava C:\ExemploJava> |
Resultado: 0, 1, 2, 3, 4, 5, 6, 7, 8, 9,
A declara��o continue � usada quando n�o se quer executar nenhum dos comandos daquele ponto at� o fim do bloco, mas queremos que o la�o prossiga com a pr�xima intera��o. No caso do exemplo anterior, se i for 10, o la�o se interrompe e o restante da matriz n�o ser� preenchido. Em lugar disto, podemos usarcontinueque não s� salta o processo de atualiza��o, mas salta al�m do calcula que iria provocar um erro. O seguinte Código permite que o la�o continue, mas salta todos os números �mpares.
| Arquivo ExemploJava.java |
// ExemploJava.java |
| Resultado: |
C:\ExemploJava>javac ExemploJava.java C:\ExemploJava>java ExemploJava C:\ExemploJava> |
Resultado: 2, 4, 6, 8, 10, 12, 14, 16, 18, 20,
Existem dois tipos de Operaçãores incrementais o incremento (x++ ) e o decremento (x--)
O incremento (x++ ) aumenta o valor da Variável em uma unidade, o decremento (x--) diminui o valor da Variável em uma unidade, ou seja:
x++ � id�ntico a x=x + 1
x-- � id�ntico a x=x-1
Os Operaçãores de incremento e decremento podem ser prefixos ou p�s-fixos - isto �, podem ser colocados antes ( ++x) ou depois (x++); da mesma forma � o decremento (--x) igual a (x--), ou seja:
x++ � semelhante a ++x e
x-- � semelhante a --x.
Conclui-se da seguinte forma:
x++ ou ++x � id�ntico a x=x + 1
x-- ou --x � id�ntico a x=x-1
Veja o exemplo abaixo:
| Arquivo ExemploJava.java |
// ExemploJava.java |
| Resultado: |
C:\ExemploJava>javac ExemploJava.java C:\ExemploJava>java ExemploJava C:\ExemploJava> |
O resultado da execu��o deste pequeno script � o seguinte:
Se a=2
O resultado de a++ � 3
Se a=2
O resultado de ++a � 3
Da mesma forma s�o os Operaçãores decrementais a-- e --a, � s� substituir + + por --; por�m o resultado � 1.
Os Operaçãores incrementais s�o muito usados em estruturas de repeti��es, tais como o For e o while. Exemplo:
Exemplo 1:
| Arquivo ExemploJava.java |
// ExemploJava.java |
| Resultado: |
C:\ExemploJava>javac ExemploJava.java C:\ExemploJava>java ExemploJava C:\ExemploJava> |
Resultado: 1, 2, 3, 4, 5, 6, 7, 8, 9, 10,
Exemplo 2:
| Arquivo teste.html |
<html> |
| Arquivo ExemploJava.java |
// ExemploJava.java |
| Resultado: |
C:\ExemploJava>javac ExemploJava.java C:\ExemploJava>java ExemploJava C:\ExemploJava> |
Resultado: 20, 19, 18, 17, 16, 15, 14, 13, 12, 11, 10, 9, 8, 7, 6, 5, 4, 3, 2, 1,
Atenção programadores!!!
Em linguagens de programa��o tais como Java e o Javascript devemos ter cuidado na hora de usar Operaçãores incrementais.
Quando colocamos uma Variável e um outro Operaçãor de atribui��o "=" na frente dos Operaçãores incrementais + + e -- h� uma sutil diferen�a:
A=x++
� diferente de
A= ++x
Imagine que Variável x seja igual a 5. Nos dois casos o resultado de A deveria ser 6 nas duas opera��es.
Se:
Se: A=5 e: A=x++ O resultado �: A=5 e: x=6 |
Se A=5 e: A=++x O resultado �: A=6 e: x=6 |
Esta sutileza sint�tica pode gerar pequenos erros de programa��o.
Da mesma forma � o Operaçãor decremental "--".
Se: A=5 e: A=x-- O resultado �: A=5 e: x=4 |
Se A=5 e: A=--x O resultado �: A=4 e: x=4 |
Veja o exemplo na pr�tica:
| a=2 a=a++ Resultado de: a=2 |
a=2 a=++a Resultado de: a=3 |
| a=2 a=a-- Resultado de: a=2 |
a=2 a=--a Resultado de: a=1 |
O resultado da execu��o deste pequeno script � o seguinte:
a=2
a++=2
++a=3
Operaçãores de atribui��o (semelhante aos Operaçãores aritm�ticos) s�o s�mbolos usados pelo computador + , -, * , /, para efetuar cálculos matem�ticos.
Veja tabela abaixo:
| Nome | Operaçãor | Utiliza��o | Equivalente a |
| Adi��o | += | a+=b | a=a + b |
| Subtra��o | -= | a-=b | a=a-b |
| Multiplica��o | * = | a * =b | a=a * b |
| Divis�o | /= | a/=b | a=a/b |
| módulo | %= | a%=b | a=a%b |
| Concatena��o | += | a+=b | a=a+b |
Veja os exemplos:
| Arquivo ExemploJava.java |
// ExemploJava.java |
| Resultado: |
C:\ExemploJava>javac ExemploJava.java C:\ExemploJava>java ExemploJava C:\ExemploJava> |
Array � um conjunto de dados semelhantes (Como números, letras ou strings) armazenados com o mesmo nome. Aos dados � atribu�do um n�mero diferente no array.
Quando o array tem somente uma dimens�o, � chamado de vetor.
A maioria das linguagens de programa��o pode armazenar e manipular matrizes de uma ou mais dimens�es. As matrizes multidimensionais s�o muito usados em simula��o cient�fica e no processamento matem�tico; entretanto uma matriz pode ser apenas uma tabela de pre�os mantidas na mem�ria para acesso instant�neo por um programa de entrada de pedido.
Os arrays se dividem em dois grupos: vetores e matrizes.
Vetores s�o arrays com uma dimens�o.
Matrizes s�o arrays com mais de uma dimens�o.
1 - Na horizontal
| Arquivo ExemploJava.java |
// ExemploJava.java |
| Resultado: |
C:\ExemploJava>javac ExemploJava.java C:\ExemploJava>java ExemploJava C:\ExemploJava> |
2 - Na vertical
| Arquivo ExemploJava.java |
// ExemploJava.java |
| Resultado: |
C:\ExemploJava>javac ExemploJava.java C:\ExemploJava>java ExemploJava C:\ExemploJava> |
Exerc�cio 1. Elabore um vetor vertical que contenha os dias da semana.
| Arquivo ExemploJava.java |
// ExemploJava.java |
| Resultado: |
C:\ExemploJava>javac ExemploJava.java C:\ExemploJava>java ExemploJava C:\ExemploJava> |
Exerc�cio 2. Elabore um vetor horizontal que contenha os meses do ano.
| Arquivo teste.html |
<html> |
| Arquivo teste.java |
// ExemploJava.java |
| Resultado: |
C:\ExemploJava>javac ExemploJava.java C:\ExemploJava>java ExemploJava C:\ExemploJava> |
Exerc�cio 3. A partir da tabela abaixo, foram criados dois vetores de 6 posi��es: NOME e IDADE.
| Nome | Idade | |
| 1 | Beatriz | 19 |
| 2 | Pedro | 32 |
| 3 | Cl�udio | 23 |
| 4 | Susana | 27 |
| 5 | Marcos | 16 |
| 6 | Celina | 35 |
Com base nesta informa��o, diga o que ser� impresso pelas instru��es abaixo:
| Exemplo: |
| Texto = ""; for (int i = 0; i <= 5; i++) { if (idade[i] < 20) { Texto += Nome[i] + " "; } } |
Solu��o:
| Arquivo ExemploJava.java |
// ExemploJava.java |
| Resultado: |
C:\ExemploJava>javac ExemploJava.java C:\ExemploJava>java ExemploJava C:\ExemploJava> |
Exerc�cio 4. A tabela abaixo cont�m o nome de algumas ruas e o bairro onde se localizam.
| Rua | Bairro |
| Mena Barreto | Botafogo |
| Constan�a Barbosa | M�ier |
| Marechal C�mara | Centro |
| �lvaro Ramos | Botafogo |
| Ces�rio Alvim | Humait� |
| Jos� Clemente | Niter�i |
As instru��es a seguir iniciam um programa que cria os vetores RUAS e BAIRROS. Escreva um programa de forma que ele imprima o nome das ruas do bairro de Botafogo.
Solu��o
| Arquivo ExemploJava.java |
// ExemploJava.java |
| Resultado: |
C:\ExemploJava>javac ExemploJava.java C:\ExemploJava>java ExemploJava Rua: Mena Barreto, bairro: Botafogo Ruas do bairro de Botafogo: C:\ExemploJava> |
Exerc�cio 5. Fa�a um programa para imprimir o signo do zod�aco correspondente a uma data qualquer (dia / m�s).
A tabela a seguir mostra o �ltimo dia de cada m�s e o signo correspondente:
| Mes | �ltimo dia | Signo |
| 01 | 20 | Capric�rnio |
| 02 | 19 | Aqu�rio |
| 03 | 20 | Peixes |
| 04 | 20 | �ries |
| 05 | 20 | Touro |
| 06 | 20 | G�meos |
| 07 | 21 | C�ncer |
| 08 | 22 | Le�o |
| 09 | 22 | Virgem |
| 10 | 22 | Libra |
| 11 | 21 | Escorpi�o |
| 12 | 21 | Sagit�rio |
Importante: Armazene o hor�scopo em uma array.
| Arquivo ExemploJava.java |
// ExemploJava.java |
| Resultado: |
C:\ExemploJava>javac ExemploJava.java C:\ExemploJava>java ExemploJava Aqu�rio ultimo dia 19 / 2 C:\ExemploJava> |
Exerc�cio 6. Fa�a um programa que imprima na tela a seguinte tabela abaixo:
�ndice |
Planeta |
Luas |
Anos |
Dist�ncia |
1 |
Merc�rio |
0 |
0.024 |
58 |
2 |
V�nus |
0 |
0.625 |
108 |
3 |
Terra |
1 |
1 |
150 |
4 |
Marte |
2 |
1.91 |
228 |
5 |
J�piter |
16 |
12 |
778 |
6 |
Saturno |
18 |
29.9 |
1427 |
7 |
Urano |
15 |
85.24 |
2869 |
8 |
Netuno |
8 |
167.19 |
4498 |
9 |
Plut�o |
1 |
251.29 |
5900 |
| Arquivo ExemploJava.java |
// ExemploJava.java |
| Resultado: |
C:\ExemploJava>javac ExemploJava.java C:\ExemploJava>java ExemploJava Merc�rio 0 0.24 58.0 C:\ExemploJava> |
Tente pensar no problema como uma tabela
| Notas | Nota 1 | Nota 2 | Nota 3 |
| Aluno01 | |||
| Aluno02 | |||
| Aluno03 | |||
| Aluno04 | |||
| Aluno05 |
Veja que esta tabela tem dois tipos de informa��o: Alunos e notas.
Por exemplo a 2� nota do aluno 3, encontra-se no cruzamento entre a terceira linha com a segunda coluna, ou melhor, encontra-se no cruzamento entre a linha de �ndice 2 com a coluna de �ndice 1 , isto partindo do pressuposto que o �ndice da primeira linha � 0 e o �ndice da primeira coluna � tamb�m 0 .
Podemos transformar qualquer tabela em matriz.
A array multidimensional mostrado acima pode ser alocado de forma din�mica. Veja a tabela abaixo:
| Coluna 1 | Coluna 2 | Coluna 3 | |
| Linha 1 | a[0][0] |
a[0][1] |
a[0][2] |
| Linha 2 | a[1][0] |
a[1][1] |
a[1][2] |
| Linha 3 | a[2][0] |
a[2][1] |
a[2][2] |
| Linha 4 | a[3][0] |
a[3][1] |
a[3][2] |
Existem 4 formas de transformar uma tabela em matriz, veja o exemplo:
Cada aluno tem a sua nota, veja a tabela abaixo:
| Notas | Nota 1 | Nota 2 |
| Aluno01 | 7 |
7.5 |
| Aluno02 | 6 |
5.5 |
| Aluno03 | 7 |
8 |
| Aluno04 | 3 |
7.5 |
| Aluno05 | 4 |
4.5 |
Existem v�rias formas de transformar tabelas em matrizes. Vejamos o exemplo 01:
No 1� exemplo vamos transformar uma matriz de duas colunas em 2 vetores, veja:
| Arquivo ExemploJava.java |
// ExemploJava.java |
| Resultado: |
C:\ExemploJava>javac ExemploJava.java C:\ExemploJava>java ExemploJava C:\ExemploJava> |
Exemplo 02:
Do exemplo 2 em diante transformamos a tabela em matriz.
| Arquivo ExemploJava.java |
// ExemploJava.java |
| Resultado: |
C:\ExemploJava>javac ExemploJava.java C:\ExemploJava>java ExemploJava C:\ExemploJava> |
Exemplo 03:
O exemplo 3 n�o usa as vari�veis Aluno01, Aluno02, Aluno03, Nota1, Nota2, em seu Código:
| Arquivo ExemploJava.java |
// ExemploJava.java |
| Resultado: |
C:\ExemploJava>javac ExemploJava.java C:\ExemploJava>java ExemploJava C:\ExemploJava> |
Exemplo 04:
Lista de exerc�cio:
Exerc�cio 1. A partir da tabela abaixo, foram criados dois vetores de 6 posi��es: NOME e IDADE.
| Nome | Idade | |
| 1 | Beatriz | 19 |
| 2 | Pedro | 32 |
| 3 | Cl�udio | 23 |
| 4 | Susana | 27 |
| 5 | Marcos | 16 |
| 6 | Celina | 35 |
Com base nesta informa��o, diga o que ser� impresso pelas instru��es abaixo:
| Exemplo: |
| Texto = ""; for (int i = 0; i <= 5; i++) { if (idade[i] < 20) { Texto += Nome[i] + " "; } } |
Solu��o 1:
| Arquivo ExemploJava.java |
// ExemploJava.java |
| Resultado: |
C:\ExemploJava>javac ExemploJava.java C:\ExemploJava>java ExemploJava C:\ExemploJava> |
Solu��o 2:
| Arquivo ExemploJava.java |
// ExemploJava.java |
| Resultado: |
C:\ExemploJava>javac ExemploJava.java C:\ExemploJava>java ExemploJava C:\ExemploJava> |
Solu��o 3:
| Arquivo teste.html |
<html> |
| Arquivo teste.java |
// ExemploJava.java |
| Resultado: |
C:\ExemploJava>javac ExemploJava.java C:\ExemploJava>java ExemploJava C:\ExemploJava> |
Solu��o 4:
| Arquivo ExemploJava.java |
// ExemploJava.java |
| Reslutado: |
C:\ExemploJava>javac ExemploJava.java C:\ExemploJava>java ExemploJava C:\ExemploJava> |
Exerc�cio 2. A tabela abaixo cont�m o nome de algumas ruas e o bairro onde se localizam.
| Rua | Bairro |
| Mena Barreto | Botafogo |
| Constan�a Barbosa | M�ier |
| Marechal C�mara | Centro |
| �lvaro Ramos | Botafogo |
| Ces�rio Alvim | Humait� |
| Jos� Clemente | Niter�i |
As instru��es a seguir iniciam um programa que cria os vetores RUAS e BAIRROS. Escreva um programa de forma que ele imprima o nome das ruas do bairro de Botafogo.
Solu��o
| Arquivo ExemploJava.java |
// ExemploJava.java String Texto = ""; String[][] Criamatriz = new String[2][]; Criamatriz[0][0] = "Mena Barreto"; for (int i = 0; i <= 5; i++) { Texto += "<br>Ruas do bairro de Botafogo\n\n"; for (int i = 0; i <= 5; i++) { |
| Resultado: |
C:\ExemploJava>javac ExemploJava.java C:\ExemploJava>java ExemploJava Nome da Rua: Mena BarretoNome do bairro: Botafogo C:\ExemploJava> |
Exerc�cio 5. Fa�a um programa para imprimir o signo do zod�aco correspondente a uma data qualquer (dia / m�s).
A tabela a seguir mostra o �ltimo dia de cada m�s e o signo correspondente:
| Mes | �ltimo dia | Signo |
| 01 | 20 | Capric�rnio |
| 02 | 19 | Aqu�rio |
| 03 | 20 | Peixes |
| 04 | 20 | �ries |
| 05 | 20 | Touro |
| 06 | 20 | G�meos |
| 07 | 21 | C�ncer |
| 08 | 22 | Le�o |
| 09 | 22 | Virgem |
| 10 | 22 | Libra |
| 11 | 21 | Escorpi�o |
| 12 | 21 | Sagit�rio |
Importante: Armazene o hor�scopo em uma array.
| Arquivo ExemploJava.java |
// ExemploJava.java |
| Resultado: |
C:\ExemploJava>javac ExemploJava.java C:\ExemploJava>java ExemploJava Capric�rnio �ltimo dia 20 / 1 C:\ExemploJava> |
Exerc�cio 6. Fa�a um programa que imprima na tela a seguinte tabela abaixo:
�ndice |
Planeta |
Luas |
Anos |
Dist�ncia |
1 |
Merc�rio |
0 |
0.024 |
58 |
2 |
V�nus |
0 |
0.625 |
108 |
3 |
Terra |
1 |
1 |
150 |
4 |
Marte |
2 |
1.91 |
228 |
5 |
J�piter |
16 |
12 |
778 |
6 |
Saturno |
18 |
29.9 |
1427 |
7 |
Urano |
15 |
85.24 |
2869 |
8 |
Netuno |
8 |
167.19 |
4498 |
9 |
Plut�o |
1 |
251.29 |
5900 |
| Arquivo ExemploJava.java |
// ExemploJava.java |
| Resultado: |
C:\ExemploJava>javac ExemploJava.java C:\ExemploJava>java ExemploJava Merc�rio 0 0.24 58 C:\ExemploJava> |
função � um subprograma de linguagem de computador que faz alguns cálculos e retorna um �nico valor para o programa principal.
Exemplo:
| Arquivo teste.java |
public class ExemploJava { |
| Resultado: |
C:\ExemploJava>javac ExemploJava.java C:\ExemploJava>java ExemploJava C:\ExemploJava> |
O comando return� uma instru��o que encerra o processamento de uma função e transfere o controle de volta ao módulo que o chamou, e (opcionalmente) especifica o valor da função.
A função acima retornou o valor que � 6.
Uma função pode retornar ou n�o poder retornar valores, basta n�o usar a instru��o return.
Exemplo:
| Arquivo teste.java |
public class ExemploJava { |
| Resultado: |
C:\ExemploJava>javac ExemploJava.java C:\ExemploJava>java ExemploJava C:\ExemploJava> |
O exemplo acima a função n�o retornou valores.
Em um �nico programa pode ser armazenado v�rias funções diferentes, por exemplo:
| Arquivo ExemploJava.java |
public class ExemploJava { |
| Resultado: |
C:\ExemploJava>javac ExemploJava.java C:\ExemploJava>java ExemploJava 7 - 3 = 4.0 3 * 4 = 12.0 8 / 2 = 4.0 C:\ExemploJava> |
Lista de exerc�cios
Exerc�cio 1. Crie uma função que calcule a soma de dois números
| Arquivo teste.java |
public class ExemploJava { |
| Resultado: |
C:\ExemploJava>javac ExemploJava.java C:\ExemploJava>java ExemploJava C:\ExemploJava> |
Exerc�cio 2. Crie uma função que calcule o cubo de um n�mero.
| Arquivo ExemploJava.java |
public class ExemploJava { |
| Resultado: |
C:\ExemploJava>javac ExemploJava.java C:\ExemploJava>java ExemploJava C:\ExemploJava> |
Exerc�cio 3. Crie uma função que calcule a �rea do ret�ngulo
| Arquivo ExemploJava.java |
public class ExemploJava { |
| Resultado: |
C:\ExemploJava>javac ExemploJava.java C:\ExemploJava>java ExemploJava C:\ExemploJava> |
Exerc�cio 4. Crie uma função que calcule números fatoriais
| Arquivo ExemploJava.java |
public class ExemploJava { |
| Resultado: |
C:\ExemploJava>javac ExemploJava.java C:\ExemploJava>java ExemploJava C:\ExemploJava> |
Vari�veis p�blicas (ou vari�veis globais)s�o vari�veis cujo valor pode ser acessado e modificado por qualquer instru��o de um programa. Ou seja, a Variável fica vis�vel para o programa inteiro, inclusive suas instru��es e funções.
Em programas pequenos n�o � muito vantajoso usar vari�veis p�blicas, quando o programa � muito grande, com mais de 1.00 linhas de texto � que usamos as vari�veis p�blicas.
Analisemos o programa a seguir:
| Arquivo teste.html |
<html> |
| Arquivo ExemploJava.java |
| public class ExemploJava { public static String Texto = ""; public static int v1 = 0; public static int v2 = 0; public static void função1() { v1 = 100; Texto += "Estamos dentro da rotina função1... v1= " + v1 + "\n"; função2(); Texto += "Voltamos para função1... v1=" + v1 + "\n"; Texto += "v2=" + v2 + "\n"; } public static void função2() { // public int v2; v1 = 200; v2 = 300; Texto += "Estamos na rotina função2... v1=" + v1 + "\n"; Texto += "v2=" + v2 + "\n"; } public static void main(String[] args) { Texto = "Exemplo de Variável p�blica\n"; // public int v1; v1 = 500; Texto += "Variável v1 antes da execu��o das rotinas " + v1 + "\n"; função1(); Texto += "Estamos fora de função1 ap�s sua execu��o v1=" + v1 + "\n"; System.out.println(Texto); } } |
| Resultado: |
C:\ExemploJava>javac ExemploJava.java C:\ExemploJava>java ExemploJava C:\ExemploJava> |
Resultado:
Exemplo de Variável p�blica
Variável v1 antes da execu��o das rotinas 500
Estamos dentro da rotina função1... v1= 100
Estamos na rotina função2... v1=200
v2=300
Voltamos para função1... v1=200
v2=300
Estamos fora de função1 ap�s sua execu��o v1=20
Para declarar uma Variável p�blica � muito f�cil, bata colocar public na frente da Variável, ex:
Public String Variável="Teste"
Declare esta Variável no in�cio do programa e n�o no meio ou no fim do programa; porque pode causar erros no programa.
Afinal o que Null?
1 - Null � um valor que indica dados ausentes ou desconhecidos em um campo
2 - nulo
3 - vazio
4 - sem valor
Assim como existe vari�veis num�ricas (var_1=9), vari�veis strings (var_2="Texto") e vari�veis booleanas (var_3=true) existem as vari�veis nulas (var_4=null).
Atenção: encontrar vari�veis nulas num Código fonte s�o raros, mas de vez enquanto aparecem, os exemplos abaixo s�o simplesmente demonstra��es.
Quando voc� que limpar uma Variável em fa�o o seguinte:
1� exemplo:
| Arquivo ExemploJava.java |
public class ExemploJava { |
| Resultado: |
C:\ExemploJava>javac ExemploJava.java C:\ExemploJava> |
2� exemplo:
| Arquivo teste.java |
public class ExemploJava { |
| Resultado: |
C:\ExemploJava>javac ExemploJava.java C:\ExemploJava>java ExemploJava C:\ExemploJava> |
3� exemplo:
| Arquivo ExemploJava.java |
public class ExemploJava { |
| Resultado: |
C:\ExemploJava>javac ExemploJava.java C:\ExemploJava>java ExemploJava C:\ExemploJava> |